网站首页  词典首页


请输入您要查询的字词:

 

字词 借入证券投资
类别 中英文字词句释义及详细解析
释义
借入证券投资

借入证券投资

投资者借入部分资金购买风险证券以提高期望报酬率的投资活动。
假定存在收益率的期望值为正,方差是零的资产,即存在所谓无风险资产或安全资产,(如短期国债就可看作是这类资产),如果投资者可以按无风险资产利率γF无限制地借入或贷出资金,那么投资者新的投资有效边界就是CML。参见图6—26。
由于投资者既可以投资风险证券又可以投资无风险证券,因此证券组合(P)的期望报酬率E(γP)可由下式表示:

E(γP)=XRR+(1-XR)E(γi)


式中
R:无风险证券的报酬率;
XR:证券组合中无风险证券所占百分比;
1-XR:证券组合中风险证券所占百分比;
E(γi):风险证券的i的期望报酬率。


图6—26


图6—26中,在M点的证券组合是CML线上唯一不以γF(R)借入或贷出资金的情况,即XR=0。在CML线上CM间的证券组合称为贷出证券投资,该投资者将部分资金购买报酬率为R的无风险证券,即投资者以R贷出资金,亦即XR>0。而在CML线上ML间的证券组合称为借入证券投资,该投资者打算获得比M点上预期收益更多的预期报酬,同时准备承担更高的风险水平。他可以借入无风险资产购买风险证券,对证券组合施加影响,以提高期望报酬率,亦即XR<0。
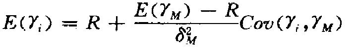
证券市场一般均衡模型可用下式表示:

式中:
R代表无风险利率;
E(γi)代表第i证券期望报酬率;
Cov(γiM)代表第i证券报酬率与证券组合的协方差;
δ2M为证券组合M的方差。
上式中第2部分称为市场风险价格。也称为风险贴水,它使投资者以无风险利率R借入资金投资于第i证券,从而增加期望报酬率。换言之,风险贴水越大,则期望报酬率也越高。
(参见“资本市场线”、“证券市场线”、“资本资产价格模型”)
☚ 人寿保险公司贷款   证券投资收益风险 ☛
00001083
随便看

 

离鸟网收录3541549条中英文词条,其功能与新华字典、现代汉语词典、牛津高阶英汉词典等各类中英文词典类似,基本涵盖了全部常用中英文字词句的读音、释义及用法,是语言学习和写作的有利工具。

 

Copyright © 2004-2024 vtrois.com All Rights Reserved
更新时间:2026/4/7 8:14:28