网站首页  词典首页


请输入您要查询的字词:

 

字词 债券应计利息的计算
类别 中英文字词句释义及详细解析
释义
债券应计利息的计算

债券应计利息的计算

应计利息是指附息债在流通市场进行买卖时,如遇交割日在两次付息日之间时,应由买方付给卖方已生息部分的金额。计算可分为纳税和不纳税两种情况:
❶按不纳税计算的应计利息计算公式:



❷按纳税计算的应计利息计算公式:


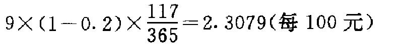
如某种债券的利息为9%,支付期为3月25日至7月20日,共117天,税率20%,则应计利息为:

☚ 债券的利息形式   附新股认购权公司债的价格 ☛
00000880
随便看

 

离鸟网收录3541549条中英文词条,其功能与新华字典、现代汉语词典、牛津高阶英汉词典等各类中英文词典类似,基本涵盖了全部常用中英文字词句的读音、释义及用法,是语言学习和写作的有利工具。

 

Copyright © 2004-2024 vtrois.com All Rights Reserved
更新时间:2026/4/7 3:34:47