网站首页  词典首页


请输入您要查询的字词:

 

字词 债券的凸性
类别 中英文字词句释义及详细解析
释义

债券的凸性

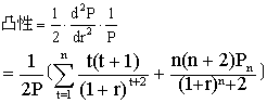
反映债券价格和收益率变化关系的一种概念。用公式表示为:

式中,P为债券价格; r为期望收益率; n为期限; Pn为本金。利用债券凸性的概念,可以通过期限与凸性更好地估计债券的价格变化率,即:


债券的凸性具有重要的投资涵义: 对于两种具有相同的持续期限并提供相同收益的债券来说,较大的凸性意味着不管市场收益是上升还是下降,该种债券都会有较高的价格。即凸性较大的债券利率风险较低。
债券的凸性

债券的凸性yield curve measures of bonds

反映债券价格和收益率变化关系的一种概念。用公式表示为:


式中,P为债券价格;r为期望收益率;n为期限;Pn为本金。利用债券凸性的概念,可以通过期限与凸性更好地估计债券的价格变化率,即:


债券的凸性具有重要的投资涵义:对于两种具有相同的持续期限并提供相同收益的债券来说,较大的凸性意味着不管市场收益是上升还是下降,该种债券都会有较高的价格。即凸性较大的债券利率风险较低。
☚ 债券的修正期限   毛奇尔债券价格五定理 ☛
00009729
随便看

 

离鸟网收录3541549条中英文词条,其功能与新华字典、现代汉语词典、牛津高阶英汉词典等各类中英文词典类似,基本涵盖了全部常用中英文字词句的读音、释义及用法,是语言学习和写作的有利工具。

 

Copyright © 2004-2024 vtrois.com All Rights Reserved
更新时间:2026/4/7 4:32:54