网站首页  词典首页


请输入您要查询的字词:

 

字词 偿债基金折旧法
类别 中英文字词句释义及详细解析
释义

偿债基金折旧法

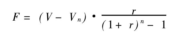
在固定资产的使用年限内,各年提取相等数额的基金,并按一定的利率计算利息而计提折旧的方法。按这种方法,到固定资产清理报废时,各年提取基金的本利之和(即各年折旧额的累计数),应和固定资产折旧总额相等,用来补偿原投资。其计算公式如下:

式中F表示每年提取的基金数,r表示利率,V表示固定资产的原始价值,Vn表示固定资产的预计净残值,n表示固定资产的预计使用年限。
偿债基金折旧法

偿债基金折旧法

仿照发行公司债券时,为了积累到期偿付债务所需要的资金而设置偿债基金的办法来计提折旧额的方法。它假定于每期期初提存等额基金,按一定的复利率予以积累,等到资产的耐用年限届满时,恰能积到一笔基金,足够为重置该资产之用,则其每期应提的基金数,加上根据已提基金按复利计算的本利和计算的利息,就是各该期应予计提的折旧费用。由于利息是随着基金的积累而逐渐增多的,每期应计折旧费用也是与年俱增的。其计算公式:

式中,R代表每期应提的等额基金数,C为资产成本, S为残值, 为一元年金终值 (利率为i, 时期为n),可在年金表中查出,dt代表第t期的折旧额(折旧费用),t为时期数,i为利率。
☚ 年金折旧法   废弃折旧法 ☛
00007955
随便看

 

离鸟网收录3541549条中英文词条,其功能与新华字典、现代汉语词典、牛津高阶英汉词典等各类中英文词典类似,基本涵盖了全部常用中英文字词句的读音、释义及用法,是语言学习和写作的有利工具。

 

Copyright © 2004-2024 vtrois.com All Rights Reserved
更新时间:2026/4/8 1:44:27