网站首页  词典首页


请输入您要查询的字词:

 

字词 克线丹
类别 中英文字词句释义及详细解析
释义

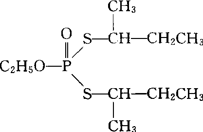
克线丹Sebufos rugby,taredan

有机磷杀线虫剂。化学名称:S,S-二仲丁基-O-乙基二硫代磷酸酯。化学结构式如下。原药黄色透明液体.水中溶解度248 mg/L,能完全与丙酮、乙腈、二氯甲烷、乙酸乙酯、戊烷、甲醇、甲苯混合。广谱触杀型杀线虫剂。土壤处理,防治各种线虫和地下害虫,用于花生、大豆、烟草、马铃薯等作物。对人畜毒性大,小鼠急性口服LD5071.4 mg/kg。

随便看

 

离鸟网收录3541549条中英文词条,其功能与新华字典、现代汉语词典、牛津高阶英汉词典等各类中英文词典类似,基本涵盖了全部常用中英文字词句的读音、释义及用法,是语言学习和写作的有利工具。

 

Copyright © 2004-2024 vtrois.com All Rights Reserved
更新时间:2026/4/7 20:53:01