网站首页  词典首页


请输入您要查询的字词:

 

字词 全酶
类别 中英文字词句释义及详细解析
释义

全酶holoenzyme

系指完整的结合酶而言。此种酶含蛋白部分与非蛋白部分,两者单独分离存在时均无活性,只有两者结合成全酶时才有催化活性。两部分如呈疏松结合易分离,此酶叫辅酶;两部分结合牢固不易分离,叫辅基。

全酶

全酶

有些酶,例如胃蛋白酶,核糖核酸酶,整个分子都是由蛋白质组成,即由多肽链构成,分解产物完全是氨基酸。但也有些酶分子里含有非蛋白质部分,这种非蛋白质部分称为酶的辅基或辅酶,蛋白质部分称为酶蛋白,酶蛋白和辅基(酶)共同构成完整的酶称为全酶。全酶才有催化性能。单独酶蛋白或单独辅酶(基)都没有催化能力。辅酶和辅基在酶反应过程中常起接受某些原子或基群的作用。在反应终了再恢复原状。辅酶和辅基的区别原则上仅在于它们和酶蛋白的结合的牢固程度。结合疏松易于分开的称为辅酶;结合牢固难以分离的称为辅基。酶蛋白对它的辅基(酶)的选择是严格的,不能更换,但同一辅酶可与不同的酶蛋白组成不同的全酶,有人曾将辅酶看作是酶的共作用物。很多辅(基)酶是水溶性维生素B族的衍生物。例如NAD+和NADP+是多种脱氢酶的辅酶,它们是尼克酰胺的衍生物。辅酶可以借助于透析将它从酶蛋白分离,而辅基同酶蛋白可能以共价键结合。
活性中心 酶发挥催化作用,首先须同作用物疏松的结合,成为酶作用物复体。其间的键可能有离子键、氢键及非极性键等。酶分子表面上与作用物结合的部位称为酶的活性中心。一个酶分子可能有不止一个活性中心。许多水解酶的活性中心里有丝氨酸羟基,它们可以同有机磷毒物(如神经毒气)及农药结合。α糜蛋白酶是由三个多肽链构成的。它的活性中心里有丝氨酸、组氨酸、天门冬氨酸等基。这些基群并不是一条多肽链上相邻的基群,而是由于酶的三级和四级结构使它们在酶表面上一个部位里相邻。有些酶,活性中心里有半胱氨酶巯基,〔巯基可与—碘醋酸ICH2—COOH或对氯高汞苯甲酸(Cl·Hg·C6H4·COOH)结合〕。

表1 某些重要的辅(基*)酶

辅酶(基)辅酶(基)的作用所含维
生素
转氨酶
脱羧酶
羧化酶
脱氢酶
氧化酶
磷酸吡哆醛
焦磷酸硫胺素
生物胞素
烟酰胺腺嘌呤二核苷酸
黄素单核苷酸(FMN)*
黄素腺嘌呤二核苷酸
(FAD)*
转移氨基
脱羧基
固定CO2
接受氢原子
接受氢原子
接受氢原子
B6
B1
生物素
烟酰胺
核黄素
核黄素
氧化还
原酶
辅酶Q  
转移酶
转移酶
转移酶
钴胺素辅酶
辅酶A
四氢叶酸类
转移烷基
转移酰基
转移一碳单位
B12
泛酸
叶酸
*为含核黄素辅基

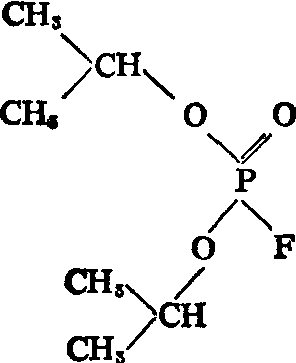
表2 某些酶的活性中心*(丝氨酸)

注:*活性中心里的基群有结合基群有催化基群辅酶或辅基也包括在活性中心之内。
丝氨酸羟基可与二异丙基氟磷酸结合 (磷与羟基结合)。

二异丙基氟磷酸


活性中心的数目 当某种酶含有一个辅基参与它所催化的反应,则其活性中心数目一般罕能多于辅基的数目,辅基可以看成是酶的催化中心。
酶分子中与作用物结合的部位: 若酶与作用物结合后发生某些物理性质的改变。则可以直接测定分子中与作用物结合位点的最大数目。例如NAD与醇脱氢酶结合后,紫外光吸收光谱发生改变,据此发现每酶分子可结合两辅酶分子(此外辅酶NAD可视为酶的第二作用物)。如果某酶可因与小分子抑制物结合而完全受抑制,则可以认为所结合的抑制物分子数目即活性中心的最大可能数目。例如β果糖苷酶可受Ag+抑制。实验结果表明每分子酶可结合7~8Ag+离子。对脲酶而言,每分子结合一个Ag+离子。
酶原和酶原的激活 有些酶在细胞内合成或初分泌时并无催化活性。这种无活性的酶前身物质称为酶原,在一定条件下酶原能转变成有活性的酶,这一转化过程称为酶原的激活。

表3 激活过程中由酶原脱落的物质

酶 原激活条件有活性的酶多肽碎片
胃蛋白酶原H+或胃蛋白酶*胃蛋白酶+六个多肽碎片
胰蛋白酶原肠激酶或
胰蛋白酶*
胰蛋白酶+六肽
糜蛋白酶原胰蛋白酶
+糜蛋白酶
α糜蛋白酶+两个二肽
羧基肽酶原A
弹性蛋白酶原
胰蛋白酶
胰蛋白酶
羧基肽酶A+几种碎片
弹性蛋白酶+几种碎片
*这种被激活的酶起激活物的作用,叫自身催化作用。
某些水解酶在细胞内以酶原状态存在可以保护细胞不受酶的破坏。
激活过程往往是肽链出现部分的折断从而引起全分子立体结构的改变,出现活性中心。脱落的肽段可能有的是酶的抑制物。
☚ 酶   酶作用的特异性 ☛
00000732
随便看

 

离鸟网收录3541549条中英文词条,其功能与新华字典、现代汉语词典、牛津高阶英汉词典等各类中英文词典类似,基本涵盖了全部常用中英文字词句的读音、释义及用法,是语言学习和写作的有利工具。

 

Copyright © 2004-2024 vtrois.com All Rights Reserved
更新时间:2026/4/6 23:54:00