网站首页  词典首页


请输入您要查询的字词:

 

字词 SMS型埋刮板链条张力和所需功率计算
类别 中英文字词句释义及详细解析
释义 SMS型埋刮板链条张力和所需功率计算

1.张力计算

[说明]参见图2-4-2。

a-水平或倾射刮板链条 b-垂直刮板链条

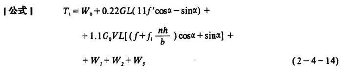
式中 T1——水平或倾射型刮板链条绕入驱动齿轮时的张力,即刮板链条的最大张力(N)

W0——相当刮板链条的初始张力(N) W0=1.32T0 (2-4-15)

T0——刮板链条的初始张力(N)

W1——相当装料阻力(N)

W2——相当卸料阻力(N)

W3——相当清扫链轮阻力(N)

f——刮板链条和导轨的摩擦系数,取0.4~0.5

f——木片的内摩擦系数 f=tgφ (2-4-16)

φ——内摩擦角(度),对木片为50°,则f=1.19

f1——木片的外摩擦系数

φ′——外摩擦角(度),若木片φ′=35°,则f1=0.7

x——运输机倾角(度)

L——运输机长度(m)

b——机槽内廓宽度(m)

h——物料层高度(m)

G——刮板链条每米重量(N/m)

G0——物料每米重量(N/m)

n——物料对机槽两侧的侧压力

x——动力系数,当V≤0.32m/s时x=1.0;当V>0.32m/s时x=1.54

V——刮板链条速度(m/s)

其它同上

2.功率计算

式中 N——功率(kW)

T1——同上

T2——刮板链条绕出链轮时的张力(N) T2=T0 (2-4-20)

T0——刮板链条的初始张力(N)

V——刮板链条速度(m/s)

ηm——传动效率(%)

随便看

 

离鸟网收录3541549条中英文词条,其功能与新华字典、现代汉语词典、牛津高阶英汉词典等各类中英文词典类似,基本涵盖了全部常用中英文字词句的读音、释义及用法,是语言学习和写作的有利工具。

 

Copyright © 2004-2024 vtrois.com All Rights Reserved
更新时间:2026/4/7 4:24:06