网站首页  词典首页


请输入您要查询的字词:

 

字词 农药土壤降解
类别 中英文字词句释义及详细解析
释义

农药土壤降解degradation of pesticides in soil

在成土因子与田间耕作等因素的共同影响下,土壤中的残留农药逐渐由大分子分解成小分子,直至失去毒性和生物活性的全过程。使用的农药大部分将掉落于土壤中,农药在土壤中降解速率的快慢,影响农药在环境中的持留性、有效性与危害性。
降解类型 农药在土壤中的降解作用,按作用机理分,包括生物降解(见农药代谢)、化学降解与地表的光降解(见光解作用)。按化学反应类型分,包括脱烷基化作用、酰胺或酯的水解作用、脱卤作用、脱氢作用、氧化作用、还原作用、羟基化作用、环开裂作用,醚的解离、缔合作用和共轭作用等。实际上,农药在降解过程中是两种或多种作用相伴或相继进行的,很少有一种作用能完成降解的全过程。其中,最主要的降解方式有下列四种:
氧化作用 由氧化物或氧化酶催化的反应包括β-氧化反应、硫醚的氧化反应、环氧化反应等;脂肪酸类农药中的脂肪酸部分在微生物作用下最易发生β-氧化或α-氧化和ω-水解。β-氧化需有ATP与辅酶A参加,反应生成乙酰辅酶A(图1)。
在进行β-氧化时,α和β碳原子须接受两个质子,当脂肪酸侧链太长或者末端有取代基存在时,质子不容易进入α和β位置,代谢就不容易发生。


图1 脂肪酸类农药的β-氧化反应

ω-苯氧基脂肪酸除草剂的研究表明,偶碳原子的脂肪族化合物氧化得到的产物大多数是偶碳原子,而奇数碳原子的脂肪酸经β-氧化后生成戊酸酯和丙酸酯衍生物,丙酸酯再氧化成不稳定的苯氧基甲酸酯和苯酚。β-氧化后,不一定使农药失活,有时还能起激活作用。
还原作用 在嫌气条件下发生的降解作用。可使醛变成醇,羧基转变成氢氧化物,硝基还原成胺等。如对硝基苯酸经还原作用,转化成对硝基苯胺(图2)。


图2 对硝基苯酸的还原作用


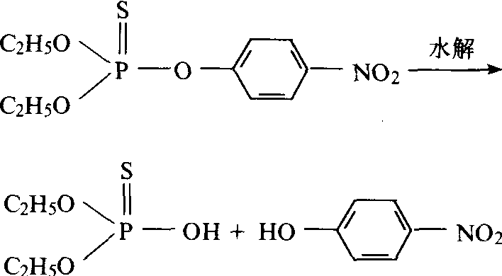
水解作用 农药分子中的某一个官能团置换水分子中OH的反应。有机磷农药和氨基甲酸酯农药,受生物酶作用或受环境介质中酸碱度的影响,产生的水解作用,前者称生物水解,后者叫做化学水解。一般亲脂性的农药经水解后亲水性增强,从而可提高农药从生物体内排出或在环境中迁移的能力(图3)。


图3 乙基对硫磷的水解作用


土壤中的粘土矿物、腐殖质以及某些金属离子等均能促进农药的水解。区分生物水解和化学水解的方法是,将土壤先经灭菌与不灭菌处理后进行农药降解的比较试验。当后者的降解速率大于前者时,可认为农药在土壤中同时存在着生物水解和化学水解;当农药在两种处理中的降解速率相当时,则只有化学水解而不存在生物水解。(见农药水解作用)。
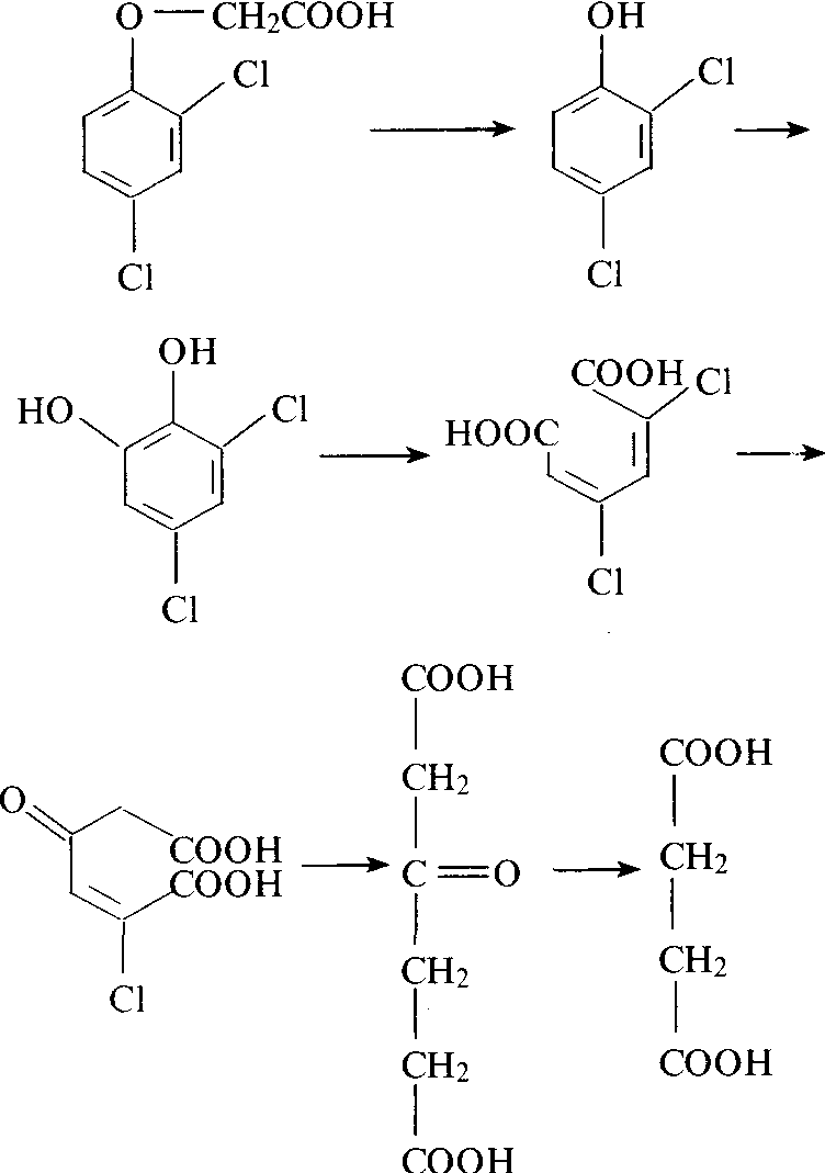
环开裂作用 环氧水化酶引起芳香族类化合物苯环开裂的反应,它是芳香族化合物生物代谢中的主要形式之一,环羧基化作用的位置受原有环上的取代基类型与位置和对其起代谢作用的微生物种的影响。
2,4-滴在生物代谢过程中苯环开裂的形式如图4。
影响条件 农药在土壤中的降解与农药的性质、剂型、使用方法,以及使用地区的气候和土壤条件有关。农药在高温多雨地区比在干寒地区容易降解,如滴滴涕


图4 2,4-滴生物代谢过程中苯环开裂形式

等有机氯农药在干旱地区可持留数年之久,而在南方水田中的残留期不长;莠去津在15℃时的降解半衰期为6个月,30℃时仅须2个月。土壤pH对农药的稳定性有明显影响,有机磷和氨基甲酸酯类农药在碱性条件下易降解,而另一些农药如2,4-滴和绿磺隆除草剂在酸性条件下易降解。土壤微生物是导致农药降解的主要因素,微生物的种类及其活性强度对农药的降解速率和降解过程都有一定影响。
测定方法 农药的降解速率,通常用降解半衰期(T0.5)或残留期(T0.95)表示。测定半衰期的方法有室内模拟试验法与田间试验法两种。室内模拟试验法是在特定标准条件下进行的,在评价农药对环境安全性时,它是相对比较各种农药降解速率快慢的指标;而田间试验法则是在田间实际条件下,测得的包括挥发、光解和淋溶在内的消解速率,或称消解半衰期。
室内模拟试验须采用两种以上有代表性的新鲜土壤,在特定的装置中加入一定量的农药与水分(分水、旱两种),在25℃恒温条件下培养,定期取出土壤,测定农药残留量变化;农药在土壤中的降解规律,符合化学一级动力学反应,可用下列公式计算:

式中 c0为农药加入时,土壤中的起始浓度(毫克/千克),R为t时土壤中的残留农药(毫克/千克),
t为培养时间(天),K为农药的降解速率常数,T0.5为农药降解半衰期。
随便看

 

离鸟网收录3541549条中英文词条,其功能与新华字典、现代汉语词典、牛津高阶英汉词典等各类中英文词典类似,基本涵盖了全部常用中英文字词句的读音、释义及用法,是语言学习和写作的有利工具。

 

Copyright © 2004-2024 vtrois.com All Rights Reserved
更新时间:2026/4/7 12:07:32