网站首页  词典首页


请输入您要查询的字词:

 

字词 农药水解作用
类别 中英文字词句释义及详细解析
释义

农药水解作用hydrolysis of pesticides

农药化合物RX与水分子H2O发生官能团X与OH的置换反应,其反应式如下:

RX+H2O→ROH+HX


水解作用分生物水解与化学水解两大类。生物水解是在生物体内通过水解酶作用产生的反应,大多数亲脂性农药在生物体内经过水解后,转变成亲水性化合物,可提高其在水中的溶解度和从生物体内排出的能力;化学水解是在环境中由于酸碱的影响所引起的化学反应,化学水解属非生物降解中最普遍的反应之一,它对农药的加工贮存,以及对农药在环境中的稳定性与生物活性都有影响。
简史 农药在环境和生物体内的水解作用是农药降解的主要形式之一,1956年马利纳(M.A.Malina)最早报道了用粘土加工农药粉剂和可湿性粉剂时,吸附在粘土上的农药产生水解现象。这种吸附—催化水解反应,对有机磷类农药和均三氮苯类除草剂特别重要。1963年,欣德(E.Hinder)提出了马拉硫磷在土壤中的水解是在碱性条件下产生的碱解作用;1968年阿姆斯特朗(D.E.Armstrong)和切斯特斯(G.Chesters)对农药在土壤体系中的水解机理进行了研究,提出了莠去津除草剂的水解与土壤有机质中的羧基有关,而与酚基和蒙脱土等无关。
作用机理 农药在水中的水解速率主要受温度与酸碱度的影响,在土壤中还受到土壤粘土矿物、土壤腐殖质及金属离子催化作用的影响。其作用机理有如下几种。
吸附催化 土壤溶液中非金属矿物对农药水解的催化作用。各种粘土矿物对农药水解影响各异,高岭土能直接促进对硫磷的水解,而蒙脱土则要使对硫磷的分子重排(rearrangement)后,才能促进其水解作用(图1)。


图1 粘土矿物对农药水解的吸附催化作用


粘土矿物表面吸附的离子,对农药水解作用也有影响,Al3+、H+离子饱和的蒙脱土能促进莠去津水解,蒙脱土被Ca2+、Cu2+饱和时无催化作用。
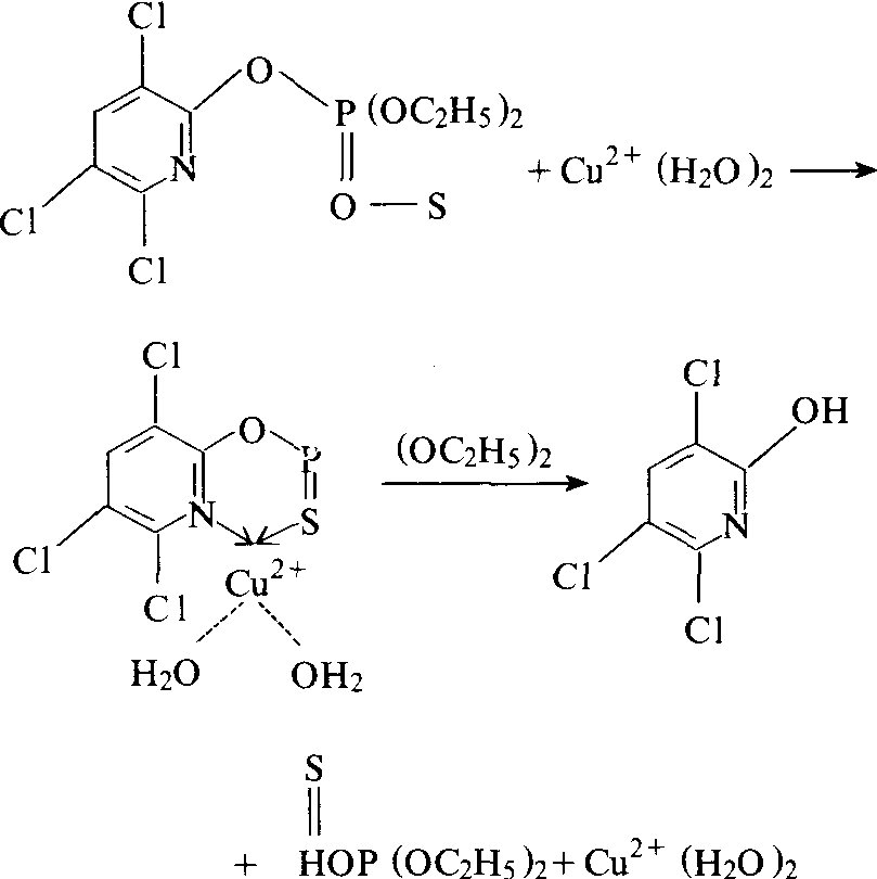
离子催化 土壤溶液中的金属离子对农药水解的


图2 Cu2+对毒死蜱(Dursban)农药配位催化水解

催化作用。Cu2+能促进多种有机磷农药的水解,其催化机理可能是农药分子与Cu2+形成配位结合后所起的作用(图2)。
在渍水土壤中硫化亚铁和亚铁离子均能促进对硫磷农药的水解。
腐殖质催化 土壤腐殖质中—OH、—COOH等基团对农药的催化作用。莠去津在含0.5毫克/毫升的富非酸溶液中的水解半衰期为742天,在含5.0毫克/毫升的富非酸溶液中的水解半衰期为87.3天。莠去津除草剂在土壤中的吸附水解机理,被认为是发生在土壤腐殖质中被质子化(protonation)的羧基与莠去津环上的氮原子之间:因环上与氮原子结合的碳原子被负电性的氯和氮原子包围着,因而易受强亲核性试剂,如OH的影响而水解。在中性溶液中,弱亲核试剂H2O是不会取代氯原子的,但当H与环上的氮原子结合时,就会使缺电性的碳原子进一步引起电性降低,从而加速H2O取代Cl基团。莠去津除草剂的吸附水解模式如下:


图3 土壤中莠去津类除草剂的吸附—催化水解模式


测定方法 供试农药要用纯品或标记农药,试验应在灭菌避光的缓冲溶液中进行,农药浓度不得大于0.01摩尔/升或半饱和浓度,当农药的溶解度很低时,可加少量(<1%)乙醇、甲醇或乙腈等有机溶剂助溶。试验先在50±1℃,pH4.0、7.0、9.0的缓冲溶液中处理5天,测定其水解量,若<10%时,可认为此药剂水解性稳定,不必再做试验,反之,则要继续在25±1℃条件下,按上述方法,定期取样测定至降解量达两个半衰期时为止,农药的水解作用半衰期可用下列公式表示:

式中 K为水解速率常数;t为反应时间(小时);c0为农药的起始浓度(毫克/升);ct为t时的农药浓度(毫克/升);t0.5为水解半衰期(小时)。
随便看

 

离鸟网收录3541549条中英文词条,其功能与新华字典、现代汉语词典、牛津高阶英汉词典等各类中英文词典类似,基本涵盖了全部常用中英文字词句的读音、释义及用法,是语言学习和写作的有利工具。

 

Copyright © 2004-2024 vtrois.com All Rights Reserved
更新时间:2026/4/9 16:06:32