网站首页  词典首页


请输入您要查询的字词:

 

字词 决定筹资成本的因素
类别 中英文字词句释义及详细解析
释义
决定筹资成本的因素

决定筹资成本的因素

证券筹资过程中所支付的注册费、代办费、借款手续费、宣传费等费用一般与筹资金额、资金占用无直接联系且有规定的收费标准,可看作是资金成本的固定费用和非决定因素;而资金占用费则与筹资金额、资金占用期有直接联系且在资金成本中占绝大多数,可看作是资金成本的变动费用和决定因素。分析研究决定资金成本的因素,主要是分析研究通货膨胀、资金时间价值、投资风险对资金占用费的影响。
通货膨胀对证券的价格和证券的名义收益以及实际收益都有直接的影响。当实际通货膨胀率高于预期通货膨胀率时,借款人会因此而得利,贷款人则受到相应的损失;反之,当实际通货膨胀率低于预期通货膨胀率时,借款人会因此而受损失,贷款人的收入则会得到相应的增加。贷款人为转移通货膨胀风险往往要求借款人接受证券收益指数化做法,即证券利息率随着实际通货膨胀率的变化而作相应的调整。所以,无论是贷款人或借款人在进行借贷过程中,都要精确估算通货膨胀对证券收益的影响并采取相应的对策,在充分考虑到通货膨胀对证券收益影响的条件下,证券的实际名义收益计算公式为:


上式中:NRit=证券i在t时间内的实际名义收益,αi=一个常数,bei=证券i的名义收益对预期通货膨胀率敏感性的一个常数,b+ti=证券i的名义收益对意外通货膨胀率敏感性的一个常数,EI=预期通货膨胀率,UI=意外通货膨胀率,Wit=在t时间内与通货膨胀没有关联的证券i的名义收益的不确定部分。
资金时间价值是资金周转使用后的增殖额,是在没有通货膨胀和风险条件下的利息率或社会平均利润率。它形成于商品经济条件下的货币借贷关系作用,以利息或贴现息表示(贴现息的贴现值与今后到期收得或支付款项总额的差额),有现值与终值两种形式。现值即货币的现在价值,指未来期货币收支额的现在价值,也叫贴现值。终值是本金在若干期后加所计利息的总数,也称本利和或将来值。利息的计算方式,有单利计息和复利计息两种。单利是不问期限长短,仅按本金计算利息,其所生利息不再计入本金重复计算利息。复利是将经过一定期间所生利息加入本金再生的利息,称为“利滚利”、“本利和”。其计算公式如下:
单利终值S=本金P×利息D(利率i×期限n)
单利现值P=S—D
复利终值Pn=P(1+i)n
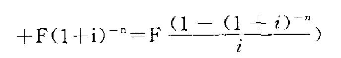
复利现值
普通年金终值
普通年金现值
投资风险价值即是冒风险投资所得利润的百分率。在没有通货膨胀的情况下,资金时间价值与风险价值之和即是投资收益率。投资者不冒风险,就只能得到无风险情况下的低额收益率(资金时间价值);要获取高额利润,就必须冒相应的风险。投资风险大小通常以投资收益标准离差率与风险价值系数的乘积来表示。其计算公式如下:


上式中,θ表示投资项目风险收益率,α表示风险价值系数,V表示收益标准离差率,表示收益期望值,σ表示收益标准离差,Xi表示各种可能的投资收益值,Pi表示各种可能的投资收益值的概率大小。其中,风险价值系数α由投资者主观确定,一般以无风险收益率(i)为标准确定,即在资金时间价值的上下浮动。因此,风险投资要求的预测投资收益率(Y)至少不低于无风险收益率(即资金时间价值)与应得风险收益率之和,即Y-(i+θ)>0。这是评价风险投资方案和进行筹资决策的重的依据。
☚ 证券筹资成本   证券筹资成本的计算 ☛
00001146
随便看

 

离鸟网收录3541549条中英文词条,其功能与新华字典、现代汉语词典、牛津高阶英汉词典等各类中英文词典类似,基本涵盖了全部常用中英文字词句的读音、释义及用法,是语言学习和写作的有利工具。

 

Copyright © 2004-2024 vtrois.com All Rights Reserved
更新时间:2026/4/5 15:03:59