网站首页  词典首页


请输入您要查询的字词:

 

字词 凯程序
类别 中英文字词句释义及详细解析
释义
凯程序

凯程序Kay program

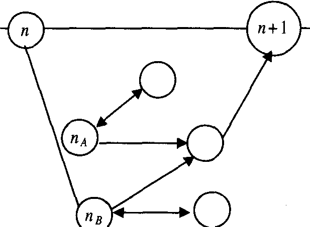
英国心理学家凯(Kay,H.)在设菲尔德大学任教时提出的一种程序模式,又称“设菲尔德体系”。其特点是分支式程序,要求学生做构答反应。英国人认为它是直线式与分支式程序原则的合理结合。它对不同的概念有不同水平的解释。例如学生学习概念n后,应按顺序学习概念n+1,但是如果在概念n中作了错误的构答,他就转向学习nA或nB,这里提供概念n的补充材料, 比学习n时更为详尽。当证明学生确已掌握了n后就转向概念n+1的学习。程序编制者在考虑n的分支时,应充分估计到学生可能产生的各种典型错误,并将其反映到补充材料中去。该体系还强调程序所选择的呈现教材的方法,应指向于有意识的理解,而不是指向于熟记。凯程序实际上只有一个主序列,在构答错误时转入子序列,通过子序列再回到主序列中。如果学生能回答主序列中某一标准项目,也可以跳过前面的某些项目,所以它又是一种“前跃直线程序”。与斯金纳程序不同点在于有补充程序, 与克劳德程序不同点是子序列终止于主序列的下一个步子上,而不是回到主序列的原来的那一步上。其模式是:

☚ 卡罗尔学校学习模式   凯勒计划 ☛
00004967
随便看

 

离鸟网收录3541549条中英文词条,其功能与新华字典、现代汉语词典、牛津高阶英汉词典等各类中英文词典类似,基本涵盖了全部常用中英文字词句的读音、释义及用法,是语言学习和写作的有利工具。

 

Copyright © 2004-2024 vtrois.com All Rights Reserved
更新时间:2026/4/8 3:35:25