网站首页  词典首页


请输入您要查询的字词:

 

字词 医用聚氯乙烯塑料
类别 中英文字词句释义及详细解析
释义
医用聚氯乙烯塑料

医用聚氯乙烯塑料

属于多组份的塑料之一,系指以人工合成的聚氯乙烯树脂(简称PVC树脂),配以无毒的增塑剂、稳定剂、抗氧剂和润滑剂等,经高温挤压塑化而成,并在严格的条件下制成各种医用制品。这类制品在当前医用高分子制品中,在数量上居首位,约为总量的1/2。主要品种有输血袋、输液袋、腹膜透析袋、输血器、输液器、体外循环管道、鼓泡式氧合器等。各国的医用聚氯乙烯塑料主要组份及其配比不尽相同。


PVC树脂 它是氯乙烯单体在适当条件下聚合而成的大分子量物质,其平均聚合度(P)一般为500~2000。PVC树脂是坚硬白色的粉末,在显微镜下呈棉花球或乒乓球状。不溶于水,仅溶于少数有机溶剂(如环已酮、四氢呋喃等)。有良好的化学稳定性,有较强的极性,在光和热作用下会释放氯化氢(HCl)。医用级PVC树脂无毒,不为生物体吸收或分解。但合成过程中所用的悬浮剂、引发剂、残余的氯乙烯单体,会带来有害的作用,应严格控制。
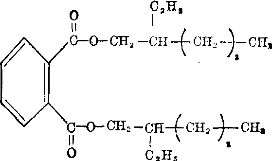
增塑剂 是使坚硬的PVC树脂转化为柔软材料的高沸点脂类化合物。不溶于水,易为碱水解,溶于有机溶剂和脂肪组织,能为生物体吸收和分解。PVC塑料的柔软程度随其用量而变化,在软质PVC塑料中约占30%。用于医用PVC塑料的主增塑剂为邻苯二甲酸二-2-乙基己酯,简称为DEHP,俗称邻苯二甲酸二辛酯(DOP)。化学结构式为:

这种增塑剂已被许多国家(美、英、日、法、意、联邦德国等)允许用于食品包装薄膜。
稳定剂 是一种阻止PVC树脂降解的化合物。PVC树脂在光和热作用下释放的HCl,会促使PVC不断释放HCl,形成不稳定的聚烯型结构:

稳定剂通过吸收HCl而阻止这种降解作用。在塑料中通常加入1~4%的稳定剂而用于医用PVC塑料的无毒稳定剂,主要有硬脂酸锌和铝皂,以及环氧大豆油(ESD)、环氧四氢邻苯二甲酸二辛酯(EPS)等。常用于一般制品的硬脂酸铅、钡、镉皂,它们本身及其反应产物有很高的毒性,不得污染医用PVC塑料。
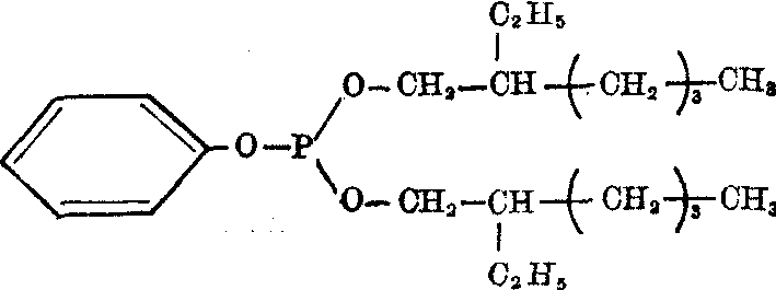
抗氧剂 本身具有吸收氧的作用,可阻止PVC大分子链上聚烯型结构的氧化。常用量约为1%。这类化合物主要是亚磷酸酯,无毒或低毒的抗氧剂为亚磷酸一苯二辛酯,其化学结构式为:


润滑剂 加入塑料中的目的,在于防止塑料成型加工时制品表面的毛糙现象。主要品种有硬脂酸和硅油。用于医用PVC塑料的品种主要有苯甲基硅油和甲基硅油,其结构单元分别为:

其中苯甲基硅油与PVC塑料相容性好,即使其用量较大(3%),制品仍保持透明。在医用PVC塑料中的硅油,也有利于减少PVC塑料表面的血小板粘附。
医用PVC塑料自五十年代由美国的Fenwal公司用于制作输血袋以来,使临床输血输液可以在完全密闭状态下完成,这被认为是输血输液技术上的重大突破。国内也于1967年研制成功并生产PVC塑料输血输液袋及其输注用具。
对塑料袋中DEHP的溶出状况、毒性、体内分布和排泄等各方面的研究结论其主要点是:
❶袋装水溶液中DEHP溶出量极微,一般室温保存3~5年的注射液不超过1P,P,M;
❷DEHP能从塑料袋膜上迁移到所接触的血液和血制品中,其迁移量随血液保存条件而变化。在4℃保存时,血浆中DEHP含量呈曲线递增,21天内平均递增速度为每天0.25mg~0.36mg/100ml;
❸通过血液和血制品进入人体的DEHP,很快从血流中消失,半衰期约为30分钟,经肝脏解毒后从粪尿排出体外,输后8小时约有输入量的50%被排出体外;
❹大剂量DEHP的契齿类动物长期实验表明,主要累积于肝脏,造成肝功能和病理切片组织的异常。在组织培养基中,DEHP有抑制细胞生长的作用,在极高剂量时有致畸作用;
❺用恒河猴按较大于临床输血或血制品的剂量输注一年,观察到肝组织学上和功能上的异常变化是温和的,认为DEHP具有微毒性;
❻袋膜中DEHP迁移到血或血制品中的过程,主要是脂蛋白的作用,对血液各成分的功能和性质未见不良影响。
尽管袋膜上的DEHP会污染所接触的血液和血制品,多数学者认为DEHP属于微毒性化合物。然而,通常临床应用以短期输血或血制品的病人占大多数,DEHP的输入量远低于人的安全使用剂量,因此一般认为其安全性是可靠的。对于长期连续输血的病人,只要肝功能正常,DEHP不会在组织内大量累积。即使如此,国外仍在研究新型更理想的医用PVC增塑剂,以期对血液不带来污染,对人更加安全可靠。
☚ 医用聚酯   医用聚乙烯醇 ☛
00004835
随便看

 

离鸟网收录3541549条中英文词条,其功能与新华字典、现代汉语词典、牛津高阶英汉词典等各类中英文词典类似,基本涵盖了全部常用中英文字词句的读音、释义及用法,是语言学习和写作的有利工具。

 

Copyright © 2004-2024 vtrois.com All Rights Reserved
更新时间:2026/4/8 23:57:56