网站首页  词典首页


请输入您要查询的字词:

 

字词 半数效量点斜法
类别 中英文字词句释义及详细解析
释义
半数效量点斜法

半数效量点斜法

半数效量(或半数致死量)的点斜法(孙瑞元,1963)是一种计算半数效量的简捷而比较精确的近似方法。它根据点斜式直线方程,综合了面积法及概率单位法的优点。本法可用于计算LD50与任何死亡率k%时的致死剂量LDk,以及它们的95%可信区间,还可计算剂量(对数)反应(概率单位)回归方程。
本法要求:
❶剂量必须为等比级数;
❷各组动物数相等或相近;
❸反应情况符合或接近正态,不要求最低死亡率必须为0%,最高死亡率必须为100%,但二者之和最好在80~120%范围内。
方法 以半数致死量为例。
(1)求LD50及其可信区间。当死亡率包括或接近0%及100%时,按式(1)计算lgLD50,取反对数即得LD50

lgLD50=xm-d(∑p-0.5),(1)

式中xm为最高剂量的对数,d为相邻两剂量对数的差值,p为各剂量组死亡率。当最高死亡率pm≠100%,或最低死亡率pn≠0%时,可改用式(2)的校正公式计算

按式(3)求lgLD50的标准误slgLD50

式中n为每组的动物数,其余符号同式(1)。
上面求出的LD50是总体LD50的点估计,按正态近似原理,总体LD50的95%可信区间的对数值按式(4)计算,
(lgLD50-1.96slgLD50, lgLD50+1.96slgLD), (4)取反对数即得真数值。
(2) 求剂量(对数)反应(概率单位)回归方程。按式(5)及式(6)计算:

式中ŷ为概率单位的估计值,x为剂量对数,b为回归系数,k为组数,H为等于或略小于组数之半的正整数(k为双数时, H=k/2; k为单数时,H=(k-1)/2),U为剂量较高的H组中各概率单位的均数,L为剂量较低的H组中各概率单位的均数。
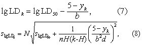
(3) 求LDk。按式(7)可求任何死亡率k%时的致死剂量对数lgLDk,按式(8)求其标准误slgLDk

式中yk是死亡率为k%时的概率单位,其余符号同上。求总体LDk的95%可信区间的对数值按式(9),
(lgLDk-1.96slgLDk,lgLDk+1.96slgLDk),(9)取反对数即得真数值。
例 用下表第(1)、(2)栏资料计算LD50、LD5及二者的95%可信区间,并求剂量反应回归方程。

LD50、LD5及回归方程的计算


每组20只动物
列上表。其中第(4)栏按第(2)栏由“百分数p与概率单位对照表”查得。而p=1时,是按p=1-0.25/20=0.9875校正后由详表查出。本例n=20,k=5(单数),H=(5-1)/2=2,xm=lg550=2.7404,d=0.0700。
(1)求LD50及其95%可信区间。按式(2)~(4):


取反对数得(344,384)。
(2)求剂量反应回归方程。按式(6)及式(5)


(3)求LD5及其95%可信区间。查“百分数p与概率单位对照表”得p=5%时,y5=3.3551。按式(7)~(9):


取反对数得(238,296)。
所求LD50为363mg/kg,其95%可信区间为344~384mg/kg;LD5为266mg/kg,其95%可信区间为238~296mg/kg;剂量(对数)反应(概率单位)回归方程为ŷ=12.1043x-25.9888。
☚ 半数效量面积法   半数效量累计法 ☛
00013286
随便看

 

离鸟网收录3541549条中英文词条,其功能与新华字典、现代汉语词典、牛津高阶英汉词典等各类中英文词典类似,基本涵盖了全部常用中英文字词句的读音、释义及用法,是语言学习和写作的有利工具。

 

Copyright © 2004-2024 vtrois.com All Rights Reserved
更新时间:2026/4/9 7:26:03