网站首页  词典首页


请输入您要查询的字词:

 

字词 半数效量面积法
类别 中英文字词句释义及详细解析
释义
半数效量面积法

半数效量面积法

半数效量(或半数致死量)的面积法是一种计算半数效量的有效方法。 最先由G.Kärber提出,故称Kärber法。后经D. J. Finney等修正。
本法要求:
❶各剂量组呈等比级数或等差级数均可;
❷各剂量组动物数应相等,每组5~20只为宜;
❸反应情况要基本符合正态分布,使最小剂量的反应率为0%(或近于0%),最大剂量的反应率为100%(或近于100%)。方法 以半数致死量为例。按式(1)计算lgLD50

式中i为组号,(xi+xi+1)为相邻两组剂量对数之和,(pi+1-pi)为相应的两组死亡率之差。
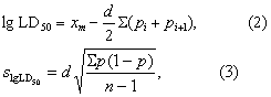
当各剂量组呈等比级数时,式(1)可简化为式(2);求半数致死量的标准误slgLD50可用式(3)。

式中xm为最高剂量的对数,d为相邻两剂量对数的差值,p为各剂量组死亡率,n为每组受试动物数。求出lgLD50及slgLD50后,尚可由正态近似原理,按式(4)求总体LD50的95%可信区间的对数值,
(lgLD50-1.96slgLD50,lgLD50+1.96slgLD50),(4)取反对数即得真数值。
例 用某农药对雌性大白鼠作灌胃的急性毒性试验,资料见下表第(1)~(5)栏,求LD50

Karber法求LD50计算表


剂 量
mg/kg
(1)
剂量对数
x
(2)
受试动物
数,n
(3)
死亡动物
数,r
(4)
死亡率
p
(5)
xi+xi+1
(6)
pi+1-pi
(7)
(xi+xi+1)(pi+1-pi)
(8)=(6)(7)
pi+pi+1
(9)
800
932
1086
1265
1473
1716
2.9031
2.9694
3.0357
3.1020
3.1683
3.2346
10
10
10
10
10
10
0
1
2
5
7
9
0.0
0.1
0.2
0.5
0.7
0.9
5.8725
6.0051
6.1377
6.2703
6.4030
6.5355
0.1
0.1
0.3
0.2
0.2
0.1
0.58725
0.60051
1.84131
1.25406
1.28060
0.65355
0.1
0.3
0.7
1.2
1.6
1.9
19993.300910101.0    
3.46.217285.8

(1)按式(1)计算LD50。列上述计算表,将表中第(8)栏合计代入式(1),得


或按式(2)计算LD50。今xm=3.3009,d=x2-x1=0.0663,由上表第(9)栏合计得∑(pi+pi+1) = 5.8,故


与按式(1)计算结果相等。
(2)求LD50的95%可信区间。今∑p(1-p)=0.8,n=10,代入式(3)及式(4):


(3.10863-1.96×0.01977,3.10863+1.96×0.01977)=(3.06998,3.14748),取反对数得 (1175,1404)。
故此农药的LD50为1284.2mg/kg,其95%可信区间为1175~1404mg/kg。
☚ 半数效量概率单位法   半数效量点斜法 ☛
00013285
随便看

 

离鸟网收录3541549条中英文词条,其功能与新华字典、现代汉语词典、牛津高阶英汉词典等各类中英文词典类似,基本涵盖了全部常用中英文字词句的读音、释义及用法,是语言学习和写作的有利工具。

 

Copyright © 2004-2024 vtrois.com All Rights Reserved
更新时间:2026/4/9 3:42:29