网站首页  词典首页


请输入您要查询的字词:

 

字词 半角定理
类别 中英文字词句释义及详细解析
释义
半角定理

半角定理banjiao dingli

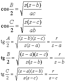
在△ABC中,a,b,c分别是∠A,∠B,∠C的对边,s=(a+b+c)/2,r是△ABC内切圆的半径,且

则有

上述式子半角定理或半角公式.
☚ 正切定理   摩尔外得公式 ☛
00012471
随便看

 

离鸟网收录3541549条中英文词条,其功能与新华字典、现代汉语词典、牛津高阶英汉词典等各类中英文词典类似,基本涵盖了全部常用中英文字词句的读音、释义及用法,是语言学习和写作的有利工具。

 

Copyright © 2004-2024 vtrois.com All Rights Reserved
更新时间:2026/4/9 5:19:04