网站首页  词典首页


请输入您要查询的字词:

 

字词 单因素多个样本均数比较
类别 中英文字词句释义及详细解析
释义
单因素多个样本均数比较

单因素多个样本均数比较

根据某一试验因素,将受试对象按完全随机设计分为若干处理组(各组样本含量可以相等或不等),分别求出各组试验结果的均数,即为单因素多个样本均数。比较此多个样本均数的目的是推断各种处理的效果有无差别。常用方差分析,若各组方差齐用F检验;若方差不齐用近似F检验,或经变量变换后达到方差齐,再用变换值作F检验。若经F检验或近似F检验,结论为各总体均数不等,只能认为各总体均数间总的说来有差别,但不能认为任何两总体均数间都有差别,或某两总体均数间有差别,必要时可进一步作均数间的两两比较。
为了说明计算分析过程,将试验结果用符号表示如下:设受试对象随机分为k组,分别接受第i(i=1,2,…,k)种处理,该组重复ni次,则第i组的第j(j=1,2,…n)个观察值用Xij表示。即


F检验 统计量F值的计算步骤如下:
(1) 由各样本观察值作初步计算,求各样本均数及总均数等。如表2下半部。
(2)按式(1)求校正数C,


(3) 按表1公式求F值。

表1 F检验求F值的公式


求得F值后,以组间均方的自由度及组内均方的自由度查F界值表得P值,按所取检验水准作出推断结论。近似F检验 即F′检验。统计量F′的计算步骤如表4。
(1)分别计算各样本含量ni,均数i,方差si2,如表4第(1)~(3)栏。
(2) 按式(2)求各样本的权数wi,如表4第(4)栏,


(3)按式(3)求各样本均数i的加权总均数w。

式中分子、分母的计算分别如表4第(5)栏合计、第(4)栏合计。
(4) 按式(4)求组间均方MS组间及其自由度v组间。

式中SS组间为样本均数i与加权总均数w间的加权离均差平方和,如表4第(6)栏合计;k为样本个数。(5)按式(5)求误差均方MS误差及其自由度v误差。

若v误差不是正整数则舍去小数取整数。
(6) 按式(6)求F′值,


求得F′值后,以v组间及v误差查F界值表得P值,按所取检验水准作出推断结论。
例1 以小鼠研究正常肝核糖核酸(RNA)对癌细胞的生物学作用,试验分为对照组(生理盐水)、水层RNA组和酚层RNA组,分别用此三种不同处理诱导肝癌细胞的果糖二磷酸酯酶(FDP酶)活力,得数据见表2上部。试比较三组均数有无差别。
H0: μ1=μ2=μ2,
H1: 各总体均数不等或不全相等。
α=0.05。
初步计算结果见表2下半部,再按式(1)及表1公式计算F值如下:


查F界值表得0.05>P>0.01,按α=0.05水准拒绝H0,接受H1,说明三种不同处理诱导肝癌细胞的FDP酶活力是有差别的。需要时可作均数间的两两比较。
例2 丙烯腈和乙腈毒性联合作用试验,取家兔22只用4种不同浓度染毒2月后,测定血中硫氰酸盐含量(mg/L),算得各

表2 三组小鼠的FDP酶活力(每小时微克分子无机磷/毫克氮)


表3 表2数据的方差分析

变异来源SSvMSF
22.212523  
组 间
组内(误差)
6.4368
15.7757
2
21
3.2184
0.7512
4.28
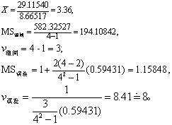
浓度组的均数和方差见表4第(2)、(3)栏,各组动物数见第(1)栏。已知各组方差不齐(见条目“多个方差的齐性检验”例2),试用F′检验推断四组均数间有无差别。
H0: 四个总体均数相等,
H1:四个总体均数不等或不全相等。
a=0.05。
列计算表(表4),并按式(2)~(6)求F′值。

表4 F′值计算表


以v1=3,v2=8查F界值表得P≤0.01,按a=0.05水准拒绝H0,接受H1,故可认为四种浓度染毒后,兔血中硫氰酸盐含量不同。
☚ 方差分析   双因素多个样本均数比较 ☛
00013228
随便看

 

离鸟网收录3541549条中英文词条,其功能与新华字典、现代汉语词典、牛津高阶英汉词典等各类中英文词典类似,基本涵盖了全部常用中英文字词句的读音、释义及用法,是语言学习和写作的有利工具。

 

Copyright © 2004-2024 vtrois.com All Rights Reserved
更新时间:2026/4/9 0:16:18