网站首页  词典首页


请输入您要查询的字词:

 

字词 双曲线拟合
类别 中英文字词句释义及详细解析
释义
双曲线拟合

双曲线拟合

双曲线拟合就是对双变量实测数据分别取对数来拟合曲线,并用拟合的曲线方程来分析两变量之间的关系。拟合方法常用最小二乘法或目测法。
双曲线方程的一般形式为


lgY=a+blgX,(b<0) (1)
或 Y=a′Xb。(2)


式(2)是曲线方程,式(1)是式(2)用对数形式表示,即曲线的直线化。医学上常用的形状有下列四型,见图1。在X轴和Y轴方面均有渐近线,平行线条表示曲线与其渐近线的距离。各条曲线下均有一个方程形式,供拟合时参照。方程中的K是由拟合曲线时经尝试得到的。双曲线拟合的应用与指数曲线相似,但双曲线适用于弯曲程度更大的资料。图1所示Ⅱ型双曲线常用于肌肉和神经生理方面的强度间期等曲线的拟合。


Ⅰ. lgY =a+b lg(K-X)
Ⅱ. lg Y=a+blgX
Ⅲ. lg(K1-Y)=a+blg(K2-X)
Ⅳ. lg(K-Y)=a+blgX

图1 四型双曲线


最小二乘法 步骤如下:
(1)将资料在方格坐标纸上绘散点图,如图2黑点,从图1选出与观察点趋势相似的方程形式。
(2)直线化。按方程的形式所示,将资料在双对数纸上绘散点图。若点子不呈直线趋势,可对X或Y加(或减)某数K,再绘散点图,给定不同K值,如此反复尝试,直到点子呈直线趋势为止。
(3)求方程。将资料按选定的方程形式及直线化时求得的K值,将X、Y作相应变换;再用变换值按最小二乘法求直线方程。
(4)求Y值。以适当的X值代入所得方程,得各Y值。
(5)作图。 以各(X,Ŷ)值作点,用曲线板将各点连成光滑的曲线。若曲线与观察点很接近,表示拟合得好。必要时可作拟合优度检验。
目测法 若按资料性质曲线必须通过某定点,或直线化时少数点子偏离直线,可用目测法拟合曲线。即在上述第(2)步的基础上,作一目测直线,然后在直线上任选两个距离较远而又便于读数的点(X1,Y1),(X2,Y2),将数值代入式(3):

化简后得直线方程。
例1 二酰肼生成率(%)Y受压力(mmHg)X的影响,测定结果见表1第(1)、(3)栏,试拟合双对数曲线。

表1 拟合双对数曲线(最小二乘法)

X
(1)
lgX
(2)
Y
(3)
Y+10
(4)
lg(Y+10)
(5)
Ŷ
(6)
15
30
50
100
300
760
1.1761
1.4771
1.6990
2.0000
2.4771
2.8808
48.0
38.0
25.0
17.5
9.6
2.6
58.0
48.0
35.0
27.5
19.6
12.6
1.7634
1.6812
1.5441
1.4393
1.2923
1.1004
48.8
35.0
27.0
18.3
8.5
2.9

绘散点图,见图2观察点,呈图1 Ⅱ型双曲线形状,其方程形式为


图2 表1数据拟合双对数曲线


在双对数纸上尝试,得X与(Y+10)呈良好的直线趋势。见图3黑点。


图3 图2观察点的直线化

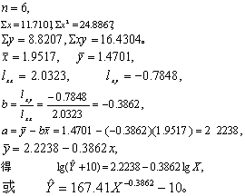
按表1第(2)、(5)栏各对x=lg X及y=lg(Y+10)值,用最小二乘法求直线回归方程。


将X=15,30,50,100,300,760分别代入所得方程,得各Ŷ值,见表1第(6)栏,将各(X, Ŷ)绘点,连成曲线,即图2的曲线。例2 在蜱的调查中,发现全沟蜱占总蜱数之比 (%)X与全沟蜱体内分离出森林脑炎病毒的带毒率 (%) Y之间有密切关系。16个调查点的记录见表2第(1)、(3)栏。试拟合双曲线。

表2 拟合双曲线(目测法)

X
(1)
100-X
(2)
Y
(3)
Y+0.2
(4)
9.4
25.0
42.8
55.8
68.1
76.3
80.7
82.2
85.0
86.3
88.8
89.9
92.5
93.6
96.6
98.1
90.6
75.0
57.2
44.2
31.9
23.7
19.3
17.8
15.0
13.7
11.2
10.1
7.5
6.4
3.4
1.9
0.0
0.0
0.0
0.0
0.9
6.5
0.7
0.4
1.0
1.8
6.8
2.6
2.3
11.9
16.8
13.9
0.2
0.2
0.2
0.2
1.1
6.7
0.9
0.6
1.2
2.0
7.0
2.8
2.5
12.1
17.0
14.1

绘散点图,见图4中黑点,呈图1 Ⅰ型双曲线趋势,方程形式为

lgY=a+blg(K-X)。

在双对数纸上尝试lg(K-X)与lgY的直线性。按资料性质,宜取K=100%。又Y为0,不便取对数,经尝试以Y+0.2为宜。见图5,16个观察点大体上呈直线趋势。此资料理论上应通过(0,0)点,且Y=0时,相应的四个X值变动颇大,故宜用目测法,在图5上作一目测直线,并令其通过(100.0,0.2)点,在线上读两点: (100.0,0.2)和(2.0,20.0),代入式(3):


化简得 lg(Ŷ+0.2)=1.6554-1.1772lg(100-X)。
将以下各X值代入此方程,求得相应的Ŷ值如下,并作曲线,


图4 表2数据拟合双曲线

见图4曲线。
X:0204060708085
Ŷ:0.000.060.160.390.631.131.67
X:909294969798 
Ŷ:2.813.715.298.6412.2119.80 


图5 图4观察点的直线化

☚ 指数曲线拟合   多项式曲线拟合 ☛
00013266
随便看

 

离鸟网收录3541549条中英文词条,其功能与新华字典、现代汉语词典、牛津高阶英汉词典等各类中英文词典类似,基本涵盖了全部常用中英文字词句的读音、释义及用法,是语言学习和写作的有利工具。

 

Copyright © 2004-2024 vtrois.com All Rights Reserved
更新时间:2026/4/9 0:07:34