| 释义 |
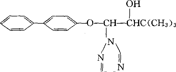
双苯三唑醇bitertanol杂环类杀菌剂。化学名称:1-联苯氧基-3,3-二甲基-1-(1,2,4-三唑-1-基)丁醇-(2)。化学结构式如下。原药为无色晶体,熔点123~124℃,易溶于异丙醇、甲苯、二氯甲烷、环己酮,不溶于水和脂肪族碳氢化物,在酸性和碱性介质中较稳定,在pH3~10时贮存一年不分解。广谱性杀菌剂,主要抑制菌体细胞麦角甾醇的生物合成。从而干扰细胞膜结构,使菌体细胞变形、菌丝顶端膨大、分枝畸形、生长受抑制,在植物体上可从叶面渗透,进入植物体液输导的内吸性能。用于防治多种植物的锈病、白粉病、叶斑病、黑星病等具保护和治疗作用。对人畜低毒、大鼠急性口服LD50>5 000 mg/kg,急性经皮LD50>5 000 mg/kg,对眼粘膜有微刺激,对皮肤无刺激作用,对鱼类及水生生物毒性中等,对蜜蜂毒性很低。 
|