网站首页  词典首页


请输入您要查询的字词:

 

字词 反三角方程
类别 中英文字词句释义及详细解析
释义
反三角方程

反三角方程fansanjiao fangcheng

含有未知数的反三角函数的方程.例如

(arccosx)2-6arccosx+8=0

等都是反三角方程.
解反三角方程,一般要通过三角函数运算,得到一个代数方程,然后解之.这种解法有可能增根,所以必须验根.

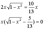
例 解方程

解 在原方程两边取正弦得


解之, 得

经检验 x=0是原方程的根

因为

所以 x2,x3都是增根.
☚ 三角方程组   最简反三角方程 ☛
00012462
随便看

 

离鸟网收录3541549条中英文词条,其功能与新华字典、现代汉语词典、牛津高阶英汉词典等各类中英文词典类似,基本涵盖了全部常用中英文字词句的读音、释义及用法,是语言学习和写作的有利工具。

 

Copyright © 2004-2024 vtrois.com All Rights Reserved
更新时间:2026/4/5 18:28:34