网站首页  词典首页


请输入您要查询的字词:

 

字词 t检验
类别 中英文字词句释义及详细解析
释义 t检验

亦称“学生检验”。

英国统计学家戈塞特(W.S.Gosset)首创。指服从t分布的统计量所进行的检验。

可用于样本为小样本,总体服从正态分布,总体标准差σ未知的条件下,对总体平均数u进行的检验。一般可用样本标准差代替总体标准差σ,

在单总体情况下,检验统计量:

t的自由度为n-1。

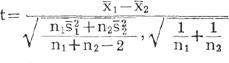
在双总体情况下,用两个样本平均数的对比,来检验它们是否来自相同的总体。检验统计量:

式中:1212,n1、n2分别代表两个样本的平均数、修正标准差和样本数目,t的自由度为n1+n2-2。

随便看

 

离鸟网收录3541549条中英文词条,其功能与新华字典、现代汉语词典、牛津高阶英汉词典等各类中英文词典类似,基本涵盖了全部常用中英文字词句的读音、释义及用法,是语言学习和写作的有利工具。

 

Copyright © 2004-2024 vtrois.com All Rights Reserved
更新时间:2026/4/8 14:51:52