t-分布
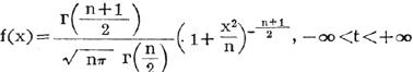
亦称“学生分布”。 在推断平均数时一般都要用到总体方差,而多数情况下总体方差系未知数,须用样本方差代替,这就会导入一定误差,若抽样数目不大(小样本),误差则会影响到必要的精确度。为克服此缺点,必须在计算公式中避免运用总体方差。考虑及此,英国统计学家戈塞特(W.S.Gosset)用学生(Student)为笔名提出著名的t-分布,故又称“学生分布”。 设x服从正态分布N(0,1),y服从卡方分布X2(n),且x与y相互独立,则随机变量:  服从自由度为n的t-分布,记作t~t(n),其概率密度函数为:  t-分布为对称分布,形态类似正态曲线,但t-分布曲线两端较正态曲线为凸起。以t=0对称。当n很大时,t分布近似于正态分布n(0,1),故通常t分布表只列出自由度由1至30,若自由度大于30,则可应用正态分布。 因此,推断平均数时,大样本与小样本的界限为30,原因就在此。 t分布的应用广泛,主要有:(1)可用作总体平均数的估计;(2)可用作样本与总体间平均数显著性检验;(3)可用于两个样本平均数差异的显著性检验;(4)可用作平均量差异的估计。 |