网站首页  词典首页


请输入您要查询的字词:

 

字词 叶绿素
类别 中英文字词句释义及详细解析
释义

叶绿素yèlǜsù

植物体中的绿色物质,是植物进行光合作用制造养料的主要物质。

叶绿素yè lǜ sù

植物体内用来进行光合作用制造养料的绿色物质。1918年《植物学大辞典》“分裂菌”条:“无叶绿素,故不能营同化作用。”◇绿叶素、叶绿质、叶绿、格罗路非勒。“格罗路非勒”为英语chlorophyll的音译。

叶绿素chlorophyll

叶绿体中具有叶绿素酸酯结构的有机色素。叶绿素是重要的光合色素,光能只有通过叶绿素才能启动光化学反应。叶绿素有叶绿素a、叶绿素b、叶绿素c1、叶绿素c2和叶绿素d 5种。高等植物的叶绿素是叶绿素a和叶绿素b。
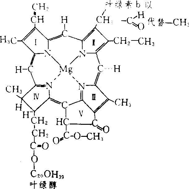
结构和性质叶绿素尤其是叶绿素a在各类光合植物中分布最广。卟啉环是各种叶绿素的共同基本结构,这个大环由四个吡咯环组成。有一整套共轭双键,也就是一个大π键,卟啉环中央是一个镁原子。它与四个氮原子的距离相等。叶绿素的颜色正是由 卟啉环中的π电子和镁原子决定的。由于连接在环上的一些基团不同形成了各种不同的叶绿素(图1)。


图 1 叶绿素的结构


叶绿素a、b和d都是一个双羧酸的酯,一个羧基为甲醇所酯化,另一个羧基为叶醇基所酯化。叶绿素c1和c2的一个羧基同样为甲醇所酯化,另一个羧基则未被酯化。所以叶绿素可以发生皂化反应。叶绿素的卟啉环是亲水的,但其上所带的叶醇基是亲脂的。叶醇是由四个异戊二烯单位所组成的双萜,是一个亲脂的脂肪链,它决定了叶绿素分子的脂溶性。卟啉环中的镁原子可为H+、Cu2+、Zn2+等离子所取代,当 Mg被Cu或Zn取代后,仍可保持绿色,所以用醋酸铜溶液处理绿色的新鲜植物即可把颜色保存下来。叶绿素具有酯类性质、不溶于水而溶于酒精、丙酮、乙醚、乙烷等有机溶剂。
叶绿素能够吸收可见光,不同波长的光被吸收的强度不同。蓝紫光区域内的吸收峰为所有的卟啉化合物所共有,只有红光区域中的吸收高峰为叶绿素所特有。叶绿素在不同溶剂中,其吸收峰略有不同。如在乙醚中,叶绿素a、b在红光区的吸收峰分别为660和643nm,而在丙酮中则为663和645nm(图2)。进一步研究证明,存在于活细胞中的叶绿素其吸收峰也不同于提取在溶剂中的叶绿素,并且已经发现活体内的叶绿素a,按其吸收峰的不同至少有六种形式,即a700、a692、a684、a670、a667和a662,它们在体内的数量也显著不同。叶绿素b也发现至少有两种形式,即b650和b640,叶绿素c2在活体内只有单个吸收峰663nm。


图2 叶绿素在乙醚中的吸收光谱


功能 在高等植物叶绿体中,叶绿素有组织地与蛋白质等物质结合成色素一蛋白复合体。研究表明,叶绿素和其他光合色素一起组织成两个色素系统,即光系统Ⅰ(PSⅠ)和光系统Ⅱ(PSⅡ)。光合作用中的两个光化学反应(光反应Ⅰ和光反应Ⅱ)即分别通过PSⅠ和PSⅡ进行的。光反应Ⅰ和高能物质形成相联系,光反应Ⅱ和光合放氧相联系。在PSⅠ中,叶绿素a700是反应中心色素分子,每个叶绿素a700和周围包含约200个左右的天线叶绿素分子以及50个左右类胡萝卜素分子(主要是胡萝卜素)组成一个光合单位。一个PSⅠ颗粒往往含有几个这样的光合单位。在PSⅡ中,反应中心的色素分子是叶绿素a680(在某些植物中为a690),每个a680周围也包含有200个左右天线叶绿素分子和50个左右类胡萝卜素分子(主要是叶黄素)。反应中心色素分子能利用所获得的光能启动光化学反应。其他色素分子则起着吸收和传递光能的作用。
也有些研究认为,高等植物和绿藻的叶绿素b和叶黄素不存在于PS Ⅱ中,它们另外组成聚光色素蛋白复合体(LHCP),将捕获的光能传递给PS Ⅰ和PSⅡ。
PSⅠ和PSⅡ的定位还不十分清楚,但它们主要存在于叶绿体类囊体膜上,PS Ⅰ颗粒在间质类囊体膜上分布较多,在基粒类囊体膜上PSⅠ和PSⅡ均有分布。
生物合成 叶绿素的合成是在前质体或叶绿体中进行的。它是一个极其复杂的过程,目前认为包括如下一些步骤。
❶δ-氨基-γ-酮戊二酸(ALA)的形成:ALA是形成吡咯环的原料,在高等植物中它通过如下途径合成。



❷胆色素原(吡咯环)的形成:两分子ALA在胆色素原合成酶(ALA脱水酶)作用下,经脱水形成一分子胆色素原。



❸尿卟啉原Ⅲ的形成: 由四个胆色素原相互连接而形成具有四个吡咯环的尿卟啉原Ⅲ。


已知只有在尿卟啉原Ⅰ合成酶和尿卟啉原Ⅲ合成酶同时存在下,才能完成尿卟啉原Ⅲ。合成过程从A环开始,由A→A—B→A—B—C→A—B—C—D。

❹原卟啉Ⅸ的形成: 原卟啉是一个含有8个羧基的化合物,它在尿卟啉原脱羧酶的作用下,脱去6分子CO2,形成只具有两个羧酸的原卟啉Ⅸ。


在原卟啉Ⅸ中参加Mg2+,即形成Mg原卟啉Ⅸ。

❺原叶绿素酸酯的形成: 在上述过程中,Mg原卟啉Ⅸ的一个羧基被甲基所酯化,然后形成环Ⅴ,即为原叶绿素酸酯。



❻从原叶绿素酸酯形成叶绿素:首先由原叶绿素酸酯经光还原形成叶绿素酸酯a。这一过程是在一种“色素—蛋白复合体”(原叶绿素酸酯全色素)上进行的。由还原态烟酰胺腺嘌呤二核苷酸磷酸(NADPH)提供H。反应发生在卟啉环的环Ⅳ上。最后是在叶绿素酸酯a上进行叶醇酯化反应形成叶绿素a。


在有些情况下,也可以由叶醇基酯化先形成原叶绿素a,然后经光还原形成叶绿素a。叶绿素b则是由叶绿素a氧化形成的。

叶绿素chlorophyll

具有叶绿酸酯结构的光合色素。高等植物含有叶绿素a和叶绿素b。藻类还含有叶绿素c和叶绿素d。光合细菌中含有多种细菌叶绿素。卟啉环是叶绿素的基本结构,环中心有一个镁原子。叶绿素a、b、d和细菌叶绿素都是双羧酸酯,一个羧基为甲醇所酯化,另一个羧基为叶醇基所酯化。叶绿素c只有一个羧基为甲醇酯化。叶绿素a和叶绿素b在吡咯环Ⅱ上有一个基团不同。叶绿素不溶于水,可溶于丙酮、乙醇等有机溶剂。卟啉环中的镁原子可被铜、锌等取代而仍为绿色。在可见光的红光和蓝光处,叶绿素a和叶绿素b各有一显著吸收峰,二者峰值不同。在活体中叶绿素以结合态存在于类囊体膜的色素——蛋白质复合体中。

叶绿素a的结构式

叶绿素

叶绿体中具有叶绿素酸酯结构的有机色素。由4个吡咯环构成的卟啉环、环戊酮、叶醇等组成。有叶绿素a、叶绿素b、叶绿素c1、叶绿素c2和叶绿素d等5种。高等植物中有叶绿素a和b2种。叶绿素和其他光合色素一起组成2个色素系统,即光系统I(PSI)和光系统Ⅱ(PSⅡ)。

叶绿素

叶绿素yelusu

是使植物呈现绿色的色素,存在于叶绿体中,是植物进行光合作用时吸收和传递光能的主要物质。有叶绿素a、b、c、d四种。叶绿素a存在于所有能进行光合放氧的植物中(光合细菌中有细菌叶绿素),叶绿素b存在于高等植物、绿藻、裸藻中,叶绿素c、d只存在某些藻类中。叶绿素是叶绿酸(双羧酸)的酯。叶绿素a的分子式为

叶绿素b比叶绿素a多一个氧,少二个氢,即

叶绿素a和b都是由4个吡咯环构成的卟啉环、镁原子和叶绿醇等构成。它们不溶于水,溶于酒精、乙醚、丙酮等有机溶剂。在叶绿体中叶绿素是与层膜上的蛋白质结合在 一起。叶绿素主要吸收红光和蓝紫光。叶绿素a在红光部分吸收带比叶绿素b宽,而且偏向长波方面;在蓝紫光部分,吸收带比叶绿素b窄,同时偏向短波方面,因此叶绿素a为蓝绿色,叶绿素b为黄绿色。现已知叶绿素b和绝大多数叶绿素a分子吸收的光能,不能直接参加光合作用,而只能传递给少数特殊状态的叶绿素a分子,由它们参加光合作用。
☚ 光合作用   光反应 ☛

叶绿素chlorophyl

系植物叶内含有的一种色素。以新鲜绿色植物叶内含量最多,是牲畜和人不可缺少的营养品。在医疗上有抑菌、抗炎及促进组织再生等作用。可用于治疗皮肤创伤、溃疡、烧伤及慢性骨髓炎等病。

叶绿素

存在于植物细胞叶绿体中的一类极重要的绿色色素。是植物进行光合作用时吸收和传递光能的主要物质。为叶绿酸的酯。主要吸收红光和蓝光,能发生荧光和磷光,也能进行光化学反应。高等植物中有叶绿素a和叶绿素b,光合细菌中有细菌叶绿素。现已能人工合成。

叶绿素

chlorophyll

叶绿素

chlorophyll

随便看

 

离鸟网收录3541549条中英文词条,其功能与新华字典、现代汉语词典、牛津高阶英汉词典等各类中英文词典类似,基本涵盖了全部常用中英文字词句的读音、释义及用法,是语言学习和写作的有利工具。

 

Copyright © 2004-2024 vtrois.com All Rights Reserved
更新时间:2026/4/7 4:20:42