网站首页  词典首页


请输入您要查询的字词:

 

字词 X2分布
类别 中英文字词句释义及详细解析
释义 X2分布

设Y1,Y2,……Yn独立且分布相同,而Y1~N(0,1),则随机变量的分布称为具有n个自由度的X2分布,并记为

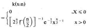
分布的密度函数为:

其中:为伽玛函数,X2分布是从正态分布派生出来的,它是一种样本的精确分布,在统计推断中非常重要。X2分布和X2统计量最早由艾贝(Abbe)在1863年提出,后由K·皮尔逊(K.Pearson)研究补充,成为皮尔逊分布系Ⅲ型分布的特例。

随便看

 

离鸟网收录3541549条中英文词条,其功能与新华字典、现代汉语词典、牛津高阶英汉词典等各类中英文词典类似,基本涵盖了全部常用中英文字词句的读音、释义及用法,是语言学习和写作的有利工具。

 

Copyright © 2004-2024 vtrois.com All Rights Reserved
更新时间:2026/4/8 4:34:35