网站首页  词典首页


请输入您要查询的字词:

 

字词 “三废”中某污染物绝对排放量的计算
类别 中英文字词句释义及详细解析
释义 “三废”中某污染物绝对排放量的计算

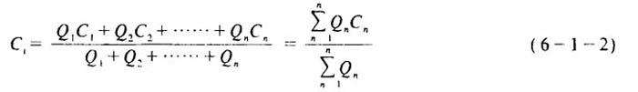
[公式] G1=KOC1 (6-1-1)

式中 G——废水(或废气等)中某污染物绝对排放量(t/年)

Q——废水(或废气等)排放总量(m3/年或标准m3/年)

K——单位换算系数,对废气K取109;废水取106

C1——某污染物实测加权平均浓度(mg/L或mg/标准m3)

Qn、Cn——表示第n次测定的流量值和浓度值

n——监测的次数

随便看

 

离鸟网收录3541549条中英文词条,其功能与新华字典、现代汉语词典、牛津高阶英汉词典等各类中英文词典类似,基本涵盖了全部常用中英文字词句的读音、释义及用法,是语言学习和写作的有利工具。

 

Copyright © 2004-2024 vtrois.com All Rights Reserved
更新时间:2026/5/31 20:33:57