网站首页  词典首页


请输入您要查询的字词:

 

字词 吡嘧磷
类别 中英文字词句释义及详细解析
释义

吡嘧磷pyrazophos

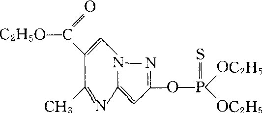
内吸性有机磷杀菌剂。又名定菌磷,商品名Afugan、Curamil。化学结构式:

1971年联邦德国赫司特公司(Hoechst AG)研制开发。
纯品为无色晶状固体。熔点51~52℃。难溶于水,20℃时溶解度为0.3%,易溶于苯、甲苯、乙醇、四氯化碳、三氯乙烷和二氯甲烷等有机溶剂。中等毒性。大鼠急性经口LD50 151~778毫克/千克。有内吸作用。对真菌中的白粉菌有特效,对长蠕孢菌等也有活性。喷雾,土壤施药或拌种,0.01 ~0.03%浓度的药液喷雾,可防治果树、蔬菜、花卉及其他经济作物的白粉病,土施或拌种,药剂能被植物根部吸收,向茎叶传导以防治病害。

吡嘧磷pyrazophos

又称定菌磷。有机磷杀菌剂。化学名称:O-[6-乙氧羰基-5-甲基吡唑基(1,5a)嘧啶-2基]-O,O-二乙基硫代磷酸酯。化学结构式如下。原药无色结晶,不溶于水,易溶于苯、甲苯、四氯化碳、三氯乙烷等,性质稳定,但遇酸碱则易分解。德国赫司特公司开发,内吸性杀菌剂,用于防治果树、蔬菜白粉病,并兼有杀虫杀螨作用。以稻瘟菌试验表明,药剂经真菌代谢后转化为6-乙氧羰基-2-羟基-5-甲基吡唑并(1,5a)嘧啶(pρ),是杀菌的主要化学物质。大白鼠口服急性LD50为286~632 mg/kg、经皮LD50为>2 000 mg/kg。

随便看

 

离鸟网收录3541549条中英文词条,其功能与新华字典、现代汉语词典、牛津高阶英汉词典等各类中英文词典类似,基本涵盖了全部常用中英文字词句的读音、释义及用法,是语言学习和写作的有利工具。

 

Copyright © 2004-2024 vtrois.com All Rights Reserved
更新时间:2026/4/6 13:49:19