网站首页  词典首页


请输入您要查询的字词:

 

字词 〇克林霉素磷酸酯
类别 中英文字词句释义及详细解析
释义 〇克林霉素磷酸酯

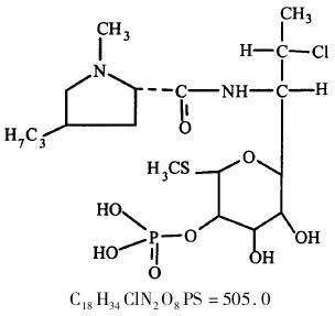
【化学名称】7-(s)-chloro-7-deoxy-lincomycin-2-pyosphate

【化学结构】

【药理作用】本品为化学半合成的克林霉素前体衍生物,对敏感革兰阳性球菌的MIC为0.002~0.8μg/ml。对厌氧菌拟杆菌属的大多数菌株,在2μg/ml甚至更小浓度下即可抑制其生长。

【药代动力学】正常人单次静脉滴注本品600 mg后血液中克林霉素立即达高峰。单次肌注600 mg后克林霉素1~2h达高峰,有效血浓度可维持8h以上。主要在肝中代谢,代谢物经胆汁和粪便排出体外。t1/2约2.5h。

【适应证】与克林霉素基本相似。主要用于各种敏感菌引起的败血症、细菌性心内膜炎、急慢性支气管炎、肺炎,骨关节、软组织感染,泌尿生殖系统感染,尤其是厌氧菌引起的外阴、阴道炎、输卵管炎、盆腔腹膜炎、子宫内膜炎及盆腔术后合并感染。特别是对脆弱拟杆菌引起的严重感染效果较好。严重葡萄球菌和链球菌感染时可作为青霉素的替代品。

【剂量与用法】肌注或静脉缓慢滴注,0.6~2.7 g/d,分4次给药;严重感染可加大剂量,但每次不能超过1.2 g,且应缓慢滴注1h。超过1月龄的婴幼儿可以按15~40 mg/kg分4次给药。

【临床评价】抗厌氧菌作用强于林可霉素,引起的伪膜性肠炎较林可霉素少见。

【不良反应】2% ~20% 病人可发生腹泻,罕见抗生素相关性肠炎或伪膜性肠炎,并可致死。其他不良反应可有恶心、呕吐、胃肠痉挛性疼痛及高剂量静脉滴注后味觉异常。过敏反应也可发生,约10% 病人可出现皮疹,偶可引起药物热。少数病人亦见一过性转氨酶升高、嗜酸粒细胞增多、白细胞减少等。大剂量静脉快速注射可引起血压下降、心电改变。

【注意事项】本品为妊娠C类药物。妊娠及哺乳期妇女、严重肝肾功能不全者慎用。肌肉注射宜深部。禁止直接静脉推注,可致心跳呼吸停止。

【制剂规格】注射剂:2ml/支,0.3 g或0.6 g。

【生产厂家】美国P&U 公司。中国山东新华制药股份有限公司。

随便看

 

离鸟网收录3541549条中英文词条,其功能与新华字典、现代汉语词典、牛津高阶英汉词典等各类中英文词典类似,基本涵盖了全部常用中英文字词句的读音、释义及用法,是语言学习和写作的有利工具。

 

Copyright © 2004-2024 vtrois.com All Rights Reserved
更新时间:2026/4/9 18:21:12