网站首页  词典首页


请输入您要查询的字词:

 

字词 〇葡萄糖酸铁钠复合物
类别 中英文字词句释义及详细解析
释义 〇葡萄糖酸铁钠复合物

【化学名称】iron(Ⅱ)-di-(D- gluconate)

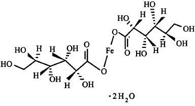
【化学结构】

【药理作用】一个成人体内的含铁量为2~4 g,大约2/3贮存于血红蛋白,1/3贮存于网状内皮细胞(骨髓、脾、肝)。血液透析病人其铁缺乏的病因学是不同的,包括铁利用增加(红细胞生成素疗法)、失血(瘘管、保持透析、血液学试验、月经)、饮食摄入或吸收减少、手术、由于炎症和恶性肿瘤引起缺铁。给予外源性红细胞生成素可增加红细胞的产生和铁利用。血液透析病人其铁利用增加和失血可能导致绝对的或功能性铁缺乏。当铁贮存的血液学指示低下时,铁缺乏是绝对的,应当给予胃肠外铁剂。

【药代动力学】本品未进行过人体药代动力学研究。在体外实验中表明,本品在270 min内透过孔径相对分子质量相当于12 000~14 000的透析膜少于1%铁类。这些研究用未经稀释本品、用0. 9%生理盐水稀释或两倍蒸馏水稀释得到证实。

【适应证】用于治疗接受补充红细胞生成素疗法的慢性血液透析病人的缺铁症。

【剂量与用法】开始试验剂量,25 mg(2 ml)用 50 ml0.9%生理盐水稀释,60 min以上滴完。如果病人能耐受,则将 125 mg(10ml)用 100 ml0.9 % 生理盐水稀释,60 min以上滴完。大多数病人需最小累积剂量为 1 g元素铁,给予8次以上才能达到良好的血红蛋白、血细胞比容效果。透析期间静脉注射给药。

【临床评价】在开放、随机、多中心临床对照研究中,83例接受红细胞生成素疗法的缺铁血液透析病人,采用1 g高剂量的本品与低剂量(0.5 g)或口服铁比较,高剂量组显著提高病人的血红蛋白、血细胞比容、铁饱和、血浆铁蛋白;而静脉注射0.5 g,尽管平均血浆铁蛋白、转铁蛋白饱和能初步改善,但不能导致血红蛋白的显著改善。本品与右旋糖酐铁注射剂相比,其安全性也大大提高。

【不良反应】严重的过敏反应,低血压。

【注意事项】非缺铁性贫血及过量铁病人禁用。哺乳妇女慎用,儿童病人其安全性及有效性无临床资料。

本品用生理盐水稀释后,应立即使用。除了生理盐水,与其他静脉输液的配伍没有评价。本品也不能与其他药品混合或加入到胃肠外营养溶液。

【制剂规格】含铁量以元素铁表示,62.5 mg元素铁 /5 ml。

【生产厂家】美国 Schein公司。

随便看

 

离鸟网收录3541549条中英文词条,其功能与新华字典、现代汉语词典、牛津高阶英汉词典等各类中英文词典类似,基本涵盖了全部常用中英文字词句的读音、释义及用法,是语言学习和写作的有利工具。

 

Copyright © 2004-2024 vtrois.com All Rights Reserved
更新时间:2026/5/31 17:56:23