网站首页  词典首页


请输入您要查询的字词:

 

字词 呋喃
类别 中英文字词句释义及详细解析
释义

呋喃fū nán

一种有机化合物。[英] furan。1932年11月《化学命名原则·有机化学命名原则》第一章:“杂环族之母核所含总原子之数,以叁、肆、伍、陆等字表之,加圜字于其后。但主要之母核得从其原名之音特创两个从口旁之字,以为简名。例: pyrrole,一氮二烯伍圜或吡咯;purane,一氧二烯伍圜或呋喃。(吡、咯、呋、喃各读如批、洛、夫、南。)”1936年余飒声《纤维素化学工业》第一编:“溴甲呋喃醛,Brommethyl furfural。”

化学物质

化学物质

吡 苄 剂(试~;杀虫~)
化合物:羰 卟 哒 羧茎 巯茎 羟茎硭硝 硇砂
有机化合物:脂 肽 膦 胂 腈 胩 肼 脲 胨 甾 腙 肟 胍 氨胺 铵 脎 烷 烯 炔 烃 脒苎 醇 酰 酚 酮 醛 醚 酯醌 酞 酶 醣 酐 嗪 砜 甙羟 莰 苯 茚 萘 菲 蒽 苷蒈 苊 鏻 鉮 凎 啶 糖 蜡噻吩 吡咯 噻唑 咔唑 吡啶 嘧啶 喹啉 吲哚 呋喃 旦白 嘌呤 哌嗪 萜烯
无机化合物:盐 矾 硝 卤 酸 碱 水 酰 铵 锈 砒霜 石膏 阴精石
一种无机化合物:丹(丹干;丹矸;丹砾;丹朱;丹沙;丹砂) 朱砂辰砂
润泽光艳的朱砂:渥赭 渥丹 渥朱
具有强烈腐蚀性的浓硝酸、浓硫酸:镪(镪水;硝镪水)
金属表面的氧化物:锈(~涩;生~)
铁锈:铁腥 铁衣
铜锈:铜华 铜花 铜青 铜毒 铜黛 铜绿

☚ 元素   自然的 ☛
呋喃

呋喃funan

含一个氧杂原子的五元杂环化合物。分子式C4H4O,无色液体,沸点为31.4℃,不溶于水,易溶于乙醇、乙醚。呋喃环上的5个原子均为sp2


化,处于同一平面,氧原子的一对未共用电子占据的p轨道垂直于环平面,与4个碳原子的p轨道平行且重叠,形成5原子6电子的闭合共轭体系,故具有芳香性。呋喃容易在α-位发生卤化、硝化、磺化等亲电取代反应:


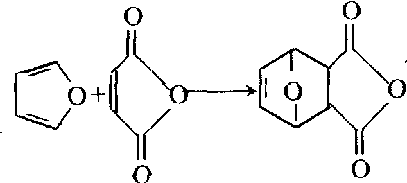
呋喃具有共轭烯烃的性质,可以发生双烯合成反应:



顺丁烯二酸酐

呋喃不稳定,容易发生氧化和聚合反应。呋喃催化氢化得到四氢呋喃:



四氢呋喃

四氢呋喃是一种环醚,无色液体,沸点为67℃,可与水混溶,能溶解许多有机物与无机物,是常用的溶剂。
呋喃的重要衍生物有糠醛 (参见“糠醛”)。在果糖、核糖等一些单糖及其衍生物分子中,有氢化呋喃的环状结构。
☚ 杂环化合物   吡咯 ☛
00006032
随便看

 

离鸟网收录3541549条中英文词条,其功能与新华字典、现代汉语词典、牛津高阶英汉词典等各类中英文词典类似,基本涵盖了全部常用中英文字词句的读音、释义及用法,是语言学习和写作的有利工具。

 

Copyright © 2004-2024 vtrois.com All Rights Reserved
更新时间:2026/4/7 19:52:32