网站首页  词典首页


请输入您要查询的字词:

 

字词 呋霜灵
类别 中英文字词句释义及详细解析
释义

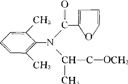
呋霜灵furalaxyl

杂环类杀菌剂。化学名称:N-(2,6-二甲基苯基)-N-(2-呋喃基羰基)-外消旋氨基丙酸甲酯。化学结构式如下。原药为双晶形结晶,熔点70~84℃,易溶于多种有机溶剂,在水中为230 mg/L。属内吸性杀菌剂,专用于由卵菌引起的植物病害,以叶面喷洒,土壤灌溉防治蔬菜、观赏植物的绵腐病、疫病等,对人畜低毒,大鼠急性口服LD50为940 mg/kg、急性经皮LD50>3 100 mg/kg。

随便看

 

离鸟网收录3541549条中英文词条,其功能与新华字典、现代汉语词典、牛津高阶英汉词典等各类中英文词典类似,基本涵盖了全部常用中英文字词句的读音、释义及用法,是语言学习和写作的有利工具。

 

Copyright © 2004-2024 vtrois.com All Rights Reserved
更新时间:2026/4/7 22:06:19