网站首页  词典首页


请输入您要查询的字词:

 

字词 咯喹酮
类别 中英文字词句释义及详细解析
释义

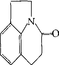
咯喹酮pyroquilon

又称丰谷隆。杂环类杀菌剂。化学名称:1,2,5,6-四氢吡咯并(3,2,1-ij)喹啉-4-酮。化学结构式如下。原药为白色结晶,熔点112℃,20℃时溶解度(g/L)水4,甲醇240,丙酮125;在320℃以下稳定,320℃以上分解。主要用于防治稻瘟病。抑制菌体的黑色素合成,使其丧失侵染能力,但对已经侵染的病菌无治疗作用。施药时间分育苗箱和田间,叶稻瘟发病前至初病期或抽穗前。对人、畜毒性轻微至中等。

随便看

 

离鸟网收录3541549条中英文词条,其功能与新华字典、现代汉语词典、牛津高阶英汉词典等各类中英文词典类似,基本涵盖了全部常用中英文字词句的读音、释义及用法,是语言学习和写作的有利工具。

 

Copyright © 2004-2024 vtrois.com All Rights Reserved
更新时间:2026/4/8 22:19:53