| 释义 |
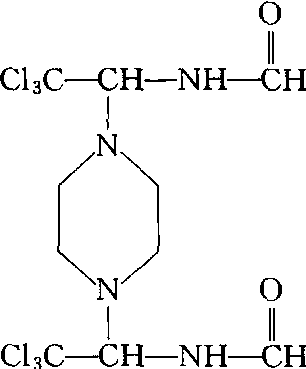
嗪氨灵triforine又称嗪胺灵。杂环类杀菌剂。化学名称:1,4-二-(2,2,2-三氯-1-甲酰胺基乙基)哌嗪。化学结构式如下。原药白色无味结晶,几乎不溶于水、碱和酸中。在氯仿、芳香烃中溶解度很小,稍溶于甲醇和酮类。在二甲基甲酰胺和N-甲基吡咯烷酮的溶解度为30%和40%。内吸性杀菌剂,用于防治由白粉菌、锈菌、黑星菌等引起的禾谷类锈病和苹果黑星病,禾谷类、苹果、葫芦科白粉病等病害。以根部浇灌比叶面喷洒效果好,亦用于禾谷类作物拌种处理。它对菌的作用是抑制甾醇的生物合成,干扰膜的生成。在植株体内它损害白粉菌吸器,而不影响孢子萌芽。对植物安全,对人畜低毒,小鼠急性口服LD50>6 000 mg/kg,把鱼放入50 mg/kg溶液中,无中毒表现,对蜜蜂也无毒性。 
|