网站首页  词典首页


请输入您要查询的字词:

 

字词 嘌呤
类别 中英文字词句释义及详细解析
释义

嘌呤piào lìng

一种有机化合物。[英] purine。1932年11月《化学命名原则·有机化学命名原则》第五章:“Purine,嘌呤。(嘌读如票,呤读如令。)”1939年Teh-Ching Leo, Cousland's English-Chinese Medical Lexicon:“purin,嘌呤,普林。”

化学物质

化学物质

吡 苄 剂(试~;杀虫~)
化合物:羰 卟 哒 羧茎 巯茎 羟茎硭硝 硇砂
有机化合物:脂 肽 膦 胂 腈 胩 肼 脲 胨 甾 腙 肟 胍 氨胺 铵 脎 烷 烯 炔 烃 脒苎 醇 酰 酚 酮 醛 醚 酯醌 酞 酶 醣 酐 嗪 砜 甙羟 莰 苯 茚 萘 菲 蒽 苷蒈 苊 鏻 鉮 凎 啶 糖 蜡噻吩 吡咯 噻唑 咔唑 吡啶 嘧啶 喹啉 吲哚 呋喃 旦白 嘌呤 哌嗪 萜烯
无机化合物:盐 矾 硝 卤 酸 碱 水 酰 铵 锈 砒霜 石膏 阴精石
一种无机化合物:丹(丹干;丹矸;丹砾;丹朱;丹沙;丹砂) 朱砂辰砂
润泽光艳的朱砂:渥赭 渥丹 渥朱
具有强烈腐蚀性的浓硝酸、浓硫酸:镪(镪水;硝镪水)
金属表面的氧化物:锈(~涩;生~)
铁锈:铁腥 铁衣
铜锈:铜华 铜花 铜青 铜毒 铜黛 铜绿

☚ 元素   自然的 ☛
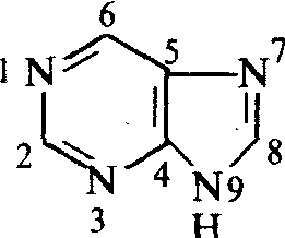
嘌呤

嘌呤piaoling

无色晶体,熔点为216℃,易
溶于水,有弱碱性。嘌呤的衍生物广泛存在于自然界,如:




腺嘌呤和鸟嘌呤是组成核酸的重要碱基。
☚ 嘧啶   核酸 ☛

嘌呤

简称“Pur”。核酸分子中的一种碱性的含氮的9元双杂环化合物。常见的是腺嘌呤和鸟嘌呤。

嘌呤

purine


嘌呤

purine


嘌呤

purine

随便看

 

离鸟网收录3541549条中英文词条,其功能与新华字典、现代汉语词典、牛津高阶英汉词典等各类中英文词典类似,基本涵盖了全部常用中英文字词句的读音、释义及用法,是语言学习和写作的有利工具。

 

Copyright © 2004-2024 vtrois.com All Rights Reserved
更新时间:2026/4/8 16:03:04