| 释义 |
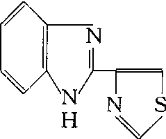
噻菌灵thiabendazole,TBZ杂环类杀菌剂。化学名称:2-(4-噻唑基)-苯并咪唑。化学结构式如下。原药白色无味固体,室温下不挥发,250℃时升华,固体状态或水中悬液中稳定,在水中溶解度pH 2时为1%,pH 5~12时为<50 mg/kg,微溶于氯仿、苯,稍溶于丙酮、甲苯,易溶于二甲亚砜。1961年曾被作兽用驱虫药,1964年后又发现其有较广的抗菌谱和植物体内的吸收和运转的功能。广谱性内吸杀菌剂,与多菌灵、苯菌灵有相似的抗菌谱和作用机制。可叶面喷洒,土壤处理,种子处理,收获后水果、蔬菜保鲜杀菌处理,亦可制成片剂作熏蒸剂使用,对植物安全,对人畜低毒,小鼠口服LD50为381 mg/kg,每天喂大鼠100 mg/kg,也未见中毒症状。美国规定猪、牛、羊等动物体内允许残留量为0.1 mg/kg、牛奶0.05 mg/kg、柑橘汁20mg/kg、果干中35 mg/kg。 
|