网站首页  词典首页


请输入您要查询的字词:

 

字词 四溴氰菊酯
类别 中英文字词句释义及详细解析
释义

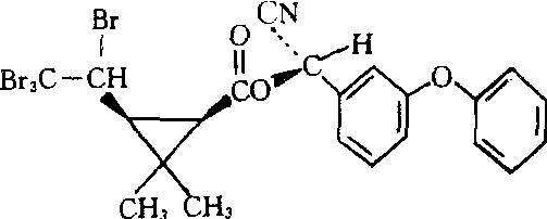
四溴氰菊酯tralomethrin

又称scout。化学名称:(S)α-氰基-3-苯氧基苄基(1R,3S)-2,2-二甲基-3-〔(RS)-1,2,2,2-四溴乙基〕环丙烷羧酸酯。化学结构式如下。技术级93%纯度是橘黄色树脂状固体,是两种异构体的混合物,密度0.901,沸点138~148℃。溶解度水中70mg/kg,在丙酮、二甲苯、二氯乙烷中1 kg/L。大鼠口服LD50(♂)为1 250、(♀)为1 070mg/kg,吸入LC50(♂)为2 700、(♀)为3 900 mg/m3,兔涂皮>2 000mg/kg。对鱼、蜜蜂剧毒。防治棉花、大豆、蔬菜的鳞翅目幼虫。

随便看

 

离鸟网收录3541549条中英文词条,其功能与新华字典、现代汉语词典、牛津高阶英汉词典等各类中英文词典类似,基本涵盖了全部常用中英文字词句的读音、释义及用法,是语言学习和写作的有利工具。

 

Copyright © 2004-2024 vtrois.com All Rights Reserved
更新时间:2026/4/9 5:33:04