网站首页  词典首页


请输入您要查询的字词:

 

字词 回归预测法
类别 中英文字词句释义及详细解析
释义

回归预测法regression forecast

根据害虫发生与环境因素间的数量关系,用生物统计的回归分析法建立回归方程预测害虫发生的一种方法。适用于害虫中、长期预测预报,并适于利用电子计算机组建方程式和发布预报。一般过程为:选预报因子并测定其和预报量(害虫发生期、发生量、危害程度)的相关显著性;将有显著相关的预报因子和预报量组建回归方程(也称回归式或预测式),并求出回归系数;经可靠性检验修正后,投入实用。
选预报因子
预报因子是对预报量有密切关系的环境因素,须利用多年积累的田间系统调查资料选取。其选择原则是:❶样本数要稍多些,一般10~20个;预报因子数不超过样本数的1/10~1/5;
❷相关性好且稳定;
❸选主要因子和能与之配合或互补的次要因子。其选择方法一般为:❶在直角坐标中作预报因子与预报量的散点图;
❷判断二者的相关性质和程度,经相关系数分析和显著性检验最后选定。
建回归方程
根据预报因子与预报量的关系,回归方程有线性、非线性(曲线)之分,根据预报因子的个数有一元、多元之分。
一元线性回归方程 单一预报因子(x)和预报量(y)呈近似直线关系。建立步骤如下:
求相关系数(γxy),即求所认定的预报因子与预报量的相关程度。相关系数的公式为:



作显著性检验,即检验所选预报因子的相关显著性,常用两法: ❶查相关系数检验表,自由度为n-2,凡公式所求rxy值大于表中0.01的值时,表示相关极显著,大于表中0.05的值时,表示相关显著,则此预报因子可以采用,反之不宜采用;
❷用t检验法。


t=r/Sr=


式中Sr为相关系数标准差。凡t值小于t值表中0.05t值的,不宜选作预报因子。
建立回归方程:


=a+bx


式中 为预报量估值, a、b为回归系数, 其求算公式为:



检验预报符合率 (报准次数与预报总次数之比),即检验所建回归方程的符合程度,一般有两种方法:❶回测符合率,即用历史资料代入预测式,统计其符合程度;
❷预测符合率,即用实际发生的资料代入预测式,统计报准百分率。
曲线回归方程 预报因子(x)与预报量(y)成曲线关系时,应建曲线回归方程。建立方法有直接和间接两种:
间接法 曲线先化直线,再建立预测式,即首先确定上述曲线可能属于何种常见曲线,再按该常见曲线直线化方法,求出回归方程。常见曲线有双曲线、幂函数曲线、指数曲线、对数曲线、S形曲线、抛物线六种(见表)。

常见曲线表



(续)





❷计算直线相关系数(γxy)。设ε=η2—γ2,若ε=0,为直线相关,若ε>0,为曲线相关。ε值愈大,曲线相关性愈显著。
❸建立曲线预测式:


=a+bx+cx2



❹求回归系数a,b,c值:




❺用x2表检验所求理论曲线与各实测值的轨迹是否吻合,



式中 y为估计值,y为实际值,查x2表(自由度n—3),凡所求的x2值大于或等于表中P=0.05的x2值,则所配曲线方程不适合,反之为适合。
多元线性回归方程 当需要采用多个预报因子建立预测式时,可用复相关分析、偏相关分析、逐步回归等法。用复相关法时,可先对预报因子作复相关检验,后建复回归方程,再对此方程用x2表进行适合性检验,和用F检验表作显著性检验。但在实际工作中,因复相关系数难求,常可先建多元回归方程,再对方程进行复相关系数检验或F检验。多元回归方程通式为:

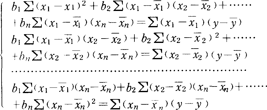
y=b0+b1x1+b2x2+……+bnxn


式中 b1,b2,……,bn为回归系数,其求法可根据最小二乘法列出方程组:



解联立方程组求出b1,b2,……,bn。得


b0=ȳ—b11—b22……bnn


将b0,b1,b2,……bn值代入通式,即得多元线性回归方程。
再对回归方程进行复相关系数检验或F检验。
复相关系数通式为:



查相关系数显著性表,自由度为(N-K-1),如算得的R值大于P0.05的值,则P<0.05,表示相关显著,大于表中P0.01的值时,则相关极显著。
F检验通式为:



查F表,自由度为(K,N-K-1),当F值大于F0.05或F0.01时的F值时,则表示预报量与各因素间相关显著或极显著,回归式成立。

回归预测法

从事物变化的因果关系出发,将收集到的与此有关的各种因素的资料,通过回归方程对事物变化趋势作出升降或增减等定性、定量分析的预测方法。

回归预测法

税务预测常用的一种数学预测方法。它是运用一定的数学模型,以一个或几个自变量作为依据,来预测因变量发展变动趋势和水平的一种方法。这种变动趋势和水平,不单纯表现在时间序列上的自然变化规律性,而且更主要的表现为变量之间因果关系的规律性。回归预测法按自变量和因变量的相关关系形式不同,分为线性回归预测法和非线性回归预测法; 线性回归预测法因自变量的多少不一,又分为一元线性回归预测法和多元线性回归预测法。税务预测主要应用一元线性回归预测法。其基本方程式为:

=a+bX


式中Y为因变量;X为自变量;为预测值;a、b为回归系数,可分别用下列公式求得:


式中N为数据点项数。回归预测法适用于税务定量预测。
回归预测法

回归预测法

通过对预测目标及其相关因素的分析,找出它们之间的统计规律性,并依此规律来进行预测的方法。用于描述其统计规律性的数学模式称为回归方程; 预测目标称为因变量,相关因素称为自变量。根据回归方程中自变量的多少,可分为一元回归预测和多元回归预测,前者只含一个自变量,后者含若干个自变量; 根据回归方程的性质不同,又可分为线性回归预测和非线性回归预测,前者的回归方程为一次式,后者不是一次式。预测步骤为: (1) 根据预测目标及其相关因素的历史资料,寻找变量间的统计规律性,建立回归方程。(2) 对回归方程的显著性进行检验,调整不合理的方程。(3) 对回归系数进行显著性检验,剔除对因变量影响不显著的自变量,进一步调整回归方程。(4) 根据预测期间自变量的变化,计算因变量的点估计值和区间估计值,作出预测。

☚ 曲线拟合法   恩格尔曲线预测法 ☛
00006369
随便看

 

离鸟网收录3541549条中英文词条,其功能与新华字典、现代汉语词典、牛津高阶英汉词典等各类中英文词典类似,基本涵盖了全部常用中英文字词句的读音、释义及用法,是语言学习和写作的有利工具。

 

Copyright © 2004-2024 vtrois.com All Rights Reserved
更新时间:2026/4/9 15:15:15