网站首页  词典首页


请输入您要查询的字词:

 

字词 国际收支的弹性分析方法
类别 中英文字词句释义及详细解析
释义
国际收支的弹性分析方法

国际收支的弹性分析方法elasticities approach to the balance of payments

一种分析汇率变化 (如贬值) 对国际收支发生何种影响的方法,它假定影响进出口需求变化的唯一因素是进出口商品的货币价格。这一国际收支的分析方法是由查尔斯· 比克尔迪克(Charles Bickerdike) 于1920年发表的一篇文章《外汇的不稳定性》 (The instability of forergn exchange) 中首次提出来的,以后又为琼·罗宾逊和梅茨勒 (Metzler) 等人进一步系统阐述。
考虑一个简化的世界,它仅仅包含两个国家(“本”国和“外”国),生产和交换两种商品。现今R代表用本国通货来表示的外国通货价格,P代表用本国通货来表示的第i种商品的国内价格 (因而在套利均衡条件下便有P=i≡Pi/R,Pi为用外国通货来表示的商品i的国外价格),B代表用外国通货来表示的本国贸易差额,Zi(Pi) 和Zi(Pi)分别代表本国和外国对第i种商品的过度需求。那么,比克尔迪克的国际收支模型可以归结为下面的方程体系:


Zi(Pi)+Zi(Pi/R)=0

(i=1,2)


B=-(1/R)[P1Z1(P1)(1)


+P2Z2(P2)]

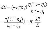
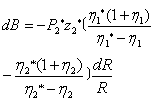
在这一体系中,汇率R被视为一种参数,P1-P2、B则是求解的变量。将 (1) 的方程对R求微分来求解dB和dpi并将其转换成弹性形式,我们便得到


(2)



(3)

其中ηi≡(dzi/dPi)(Pi/zi),而ηi*≡(dzi*/dPi*)(Pi*/zi*).在B最初等于零的特殊情况下,(2)式能够采取更简单的形式


(2′)

方程 (2) 经常被叫作比克尔迪克—罗宾逊—梅茨勒公式,然而实际上罗宾逊和梅茨勒的作用仅仅是作为解释者而已。
现在具体假定,本国出口第一种商品而进口第二种商品,从而η1和η2*便是出口供给弹性,η2和η1*则是进口需求弹性。再进一步假定所有的边际购买倾向均为正,从而η1和η2*为正值,而η2和η1*为负值。那么,为使贬值产生对于国际收支的改善效应,只需两个进口需求弹性之和在量值上大于一便足够了,这亦即是说只要马歇尔—勒纳条件(参见该条目) 被满足便足够了。因此,方程 (2′) 可以重新写成

式中除了 (1+η1*2)以外,所有各项的正负符号均为已知。为使国际收支对贬值产生正反应,贸易条件改善或至少它不恶化也可以成为充足条件。由于贸易条件变化是由P1/P2的变化来显示的,而从方程 (3) 又可以得出

因而如果该表达式是非负的,那么根据(2′)式便可得出:dB一定为正值。
☚ 硬币—价格流动机制   国际收支的吸收分析方法 ☛
00000463
随便看

 

离鸟网收录3541549条中英文词条,其功能与新华字典、现代汉语词典、牛津高阶英汉词典等各类中英文词典类似,基本涵盖了全部常用中英文字词句的读音、释义及用法,是语言学习和写作的有利工具。

 

Copyright © 2004-2024 vtrois.com All Rights Reserved
更新时间:2026/4/8 18:56:07