圆形分布法
圆形分布法用于角度、昼夜时间等资料的分析,通过三角函数变换,使原始数据成为线性资料。本条目主要介绍角度数据的图示、均数及标准差,并用参数及非参数法作假设检验,进行样本间的比较。
医学上有些资料是用角度表示的,如心电向量图的电轴、脑血流图的主峰角;或用昼夜时间表示的,如疾病发作时间。这类数据的特点是具有“周期性”,往往形成“圆形分布”。在圆形分布上,不但没有真正的零点,而且数值大小的意义也是特定的。一个圆分为360°(或2π弧度),按罗盘标记东南西北,〔见图1(a)〕,但无法证明正北方向就是0°(或360°),也不能说90°的方向“大于”60°的。设有三个角度值——10°、30°、350°,如果用通常方法求均数: (10°+30°+350°)/3=130°,显然不合理,因为三个角本来都指向偏北方,而“平均角”却指向东南方。又如一昼夜24小时,可用圆形表示,如图1(b),1点、2点、23点都在夜里,而“平均时”为8点40分,却在上午,也不合理。其他时间划分如月份也可用圆形分布表示。

图1 常用圆形标度
应用圆形分布法的条件是:
❶资料呈单峰分布;
❷角度资料要准确到度,昼夜时间要准确到几点几分;
❸圆形分布的角度表示法与三角学有区别,但仍须查三角函数表;
❹资料的具体单位要换算为角度,如1小时相当于15°,1分钟相当于0.25°或15’。余类推。
圆形分布资料常用散布图表示。例数较少时,可将变量值直接在圆周上作点,以示分布,如例1;例数较多时,以同心圆表示例数(或占总例数的构成比)的尺度,以相应位置上的半径长度表示频数分布,如例2。
例1 图示11名11~12岁儿童的心电向量图额面QRS心电轴的角(度):
-22,6,38,44,48,58,70,77,79,82,86
将这些数据在圆周上作点,见图2。例2 用表1资料绘制频数分布图。
角度自0°开始,顺时针方向为正,逆时针方向为负,在组中值位置上以各组段频数为半径作图,见图3。

图2 11名儿童QRS心
电轴角度分布

图3 7~9岁儿童129人
心电轴资料图示
表1 7~9岁儿童129人的心电轴(度)
| 组 段 | 组中值 | 频 数 |
-90~ -20~ 0~ 20~ 40~ 60~ 80~ | -55 -10 10 30 50 70 90 | 1 1 2 13 31 53 24 |
| 100~120 | 110 | 4 |
| 129 |
角均数 亦称平均角。令ai表示a
1, a
2,…an角,ā表示样本角均数,它是总体角均数μa的估计值。求ā的公式为

式中r表示集中的度量(不是样本相关系数),没有单位。r的数值自0~1:若r=0,表示没有一个平均的方向,即角的均数是不明确的;若r=1,表示全部数据都集中在同一方向。 注意:从sinā与cosā所得ā应相等,否则计算有错误。有时查出的两个角互为补角,尤其在正弦或余弦值为负时,注意该角所在的象限。
例3 计算表1资料的角均数。
表2 角均数的计算
心电轴(度),a (1) | 频数,f (2) | fsina (3) | fcosa (4) |
-55 -10 10 30 50 70 90 110 | 1 1 2 13 31 53 24 4 | -0.819152 -0.173648 0.347296 6.500000 23.747378 49.803709 24.000000 3.758770 | 0.573576 0.984808 1.969616 11.258330 19.926416 18.127068 0 -1.368081 |
| 合 计 | 129 | 107.164353 (∑sina) | 51.471733 (∑cosa) |

角标准差 亦称圆形标准差或平均角离差,简称角离差,符号为s,是表示圆形分布变异程度的指标,计算公式为

理论上s值的范围自0至∞,与通常的标准差类似。若将自然对数化成常用对数,则式(6)、(7)变成式 (8)、(9)。

式(9)对于生物学及医学都很有用。r与s是样本统计量,相应的总体参数为ρ与σ。角的数值愈集中,r值愈大,s值愈小;角的数值愈分散,r值愈小,s值愈大。
例4 求下列六个样本的角均数ā与r、标准差s。
| 样本号 | 原 始 数 据 (度),a |
1 2 3 4 5 6 | 50 40 10 -45 -75 -105 | 50 42 30 10 -15 -45 | 50 48 45 40 35 15 | 50 52 55 60 65 75 | 50 58 70 90 109.15 135 | 50 60 90 135 170 195 |
以5号样本为例,按式(1)~(5)及式(9)说明计算过程:
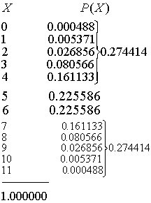
角中有6个小于它,5个大于它。二项分布的均数nπ=11/2=5.5。在62°两边角的个数X各为6和5,它们与均数距离的绝对值均为0.5。当X为7及以上或4及以下时,X与均数距离的绝对值都大于0.5,出现这些X值的概率由

式求得为

P=0.274414×2=0.548828,即P>0.05,故不拒绝总体中位角为62°的检验假设。
两样本角均数的比较 亦称Watson-Williams检验(G.S.Watson与E.J.Williams),按式(11)计算统计量F值,作F检验。

式中N为两样本含量n
1及n
2之和;R
1与R2由两样本分别按式(10)算得;R为两样本合并后求出的R值;K为计算F值的校正因子,由r值查表4即得。当r=R/N在0.70以上时式(11)较适用。求得F值后,查F界值表得P值,按所取检验水准作出推断结论。当v1=1时,

=t,而t值的自由度同v
2=N-2,查t界值表,得P值相同。
多个样本角均数的比较 上述Watson-Williams检验法可推广到多个样本角均数的比较,须按式(12)计算
表4 Watson-Williams检验用校正因子K
| r | K | r | K | r | K | r | K |
| .00 | | .25 .26 .27 .28 .29 | 1.7261 1.6962 1.6685 1.6427 1.6186 | .50 .51 .52 .53 .54 | 1.3235 1.3148 1.3065 1.2984 1.2905 | .75 .76 .77 .78 .79 | 1.1583 1.1528 1.1472 1.1417 1.1362 |
.01 .02 .03 .04 | 19.7500 10.3727 7.2469 5.6840 |
.05 .06 .07 .08 .09 | 4.7451 4.1193 3.6721 3.3363 3.0749 | .30 .31 .32 .33 .34 | 1.5960 1.5748 1.5548 1.5360 1.5183 | .55 .56 .57 .58 .59 | 1.2829 1.2754 1.2682 1.2611 1.2542 | .80 .81 .82 .83 .84 | 1.1306 1.1250 1.1193 1.1136 1.1078 |
.10 .11 .12 .13 .14 | 2.8656 2.6942 2.5512 2.4300 2.3261 | .35 .36 .37 .38 .39 | 1.5015 1.4855 1.4703 1.4559 1.4422 | .60 .61 .62 .63 .64 | 1.2474 1.2408 1.2343 1.2280 1.2217 | .85 .86 .87 .88 .89 | 1.1019 1.0959 1.0898 1.0835 1.0772 |
.15 .16 .17 .18 .19 | 2.2358 2.1567 2.0869 2.0246 1.9688 | .40 .41 .42 .43 .44 | 1.4290 1.4165 1.4044 1.3929 1.3818 | .65 .66 .67 .68 .69 | 1.2156 1.2096 1.2036 1.1077 1.1920 | .90 .91 .92 .93 .94 | 1.0707 1.0641 1.0573 1.0505 1.0436 |
.20 .21 .22 .23 .24 | 1.9185 1.8729 1.8313 1.7933 1.7583 | .45 .46 .47 .48 .49 | 1.3712 1.3610 1.3511 1.3416 1.3324 | .70 .71 .72 .73 .74 | 1.1862 1.1806 1.1749 1.1694 1.1638 | .95 .96 .97 .98 .99 1.00 | 1.0365 1.0294 1.0222 1.0149 1.0075 1.0000 |
录自 Zar JH:Biostatistical Analysis,p 574,Prenti-ce-Hall,Inc.,1974
统计量F值。

式中k为样本个数;Rj为各样本分别按式(10)计算的R值,其和为∑R
j;R为k个样本合并后求得的R值;N为各样本含量之和; 校正因子K仍由表4查出。当r=R/N在0.45以上时,式(12)较适用。求得F值后,查F界值表得P值,按所取检验水准作出推断结论。
例8 比较表5中两组儿童心电轴(频数分别为f
1与f
2)的角均数。
H
0: μ
1=μ
2H
1: μ
1≠μ
2。α=0.05。
表5 两样本角均数的计算
心电轴(°) a | 7~9岁组 | 10~13岁组 |
| f1 | f1sina | f1cosa | f2 | f2sina | f2cosa |
-55 -10 10 30 50 70 90 110 | 1 1 2 13 31 53 24 4 | -0.819152 -0.173648 0.347296 6.500000 23.747378 49.803709 24.000000 3.758770 | 0.573576 0.984808 1.969616 11.258330 19.926416 18.127068 0.000000 -1.368081 | 1 3 9 29 55 99 43 … | -0.819152 -0.520945 1.562834 14.500000 42.132444 93.029569 43.000000 … | 0.573576 2.954423 8.863270 25.114737 35.353319 33.859994 0.000000 … |
130 225 | | | | 2 1 | 1.532089 -0.707107 | -1.285575 -0.707107 |
| 合 计 | 129 (n1) | 107.164353 | 51.471733 | 242 (n2) | 193.709732 | 104.726637 |
按式(1)~(5)及式(10): Y
1=107.164353/129=0.830731,
7~9岁组 X
1=51.471733/129=0.399006。

同理,10~13岁组
Y
2=0.800453,
X
2=0.432755。
r2=0.909946;
sinā2=0.879671,
cosā2=0.475583,
ā
2=61°60;
R
2 =220.2069。
两组合并
∑sin ai=107.164353+193.709732=300.874085,∑cos ai=51.471733+104.726637=156.198370,
N=129+242=371,Y=0. 810981,X=0.421020。
r=0.913755,R=339.0031。
查表4,当r=0.913755时,经内插法K=1.0615,按式(11)得

ν
1=1,ν
2=371-2=369,查F界值表得P>0.05。按a=0.05水准不拒绝H0,故认为两样本的角均数都估计同一个总体角均数,最佳估计值ā按(4)、(5)由合并数计算:
sin ā =0.810981/0.913755=0.88753,
或 cosā=0.421020/0.913755=0.46076。
ā=62.56°=62°34′。
两样本角方向的比较 用G.S. Watson非参数法,称为U2检验。检验假设H0为两样本来自角方向相同的两个总体。先将两组数据统一按大小排列,分组编秩,如表7第(1)、(2)、(4)、(5)栏,令i和j分别为样本1与样本2各角的秩号,a
1i为样本1的第i个角,a2j为样本2的第j个角;然后分别求两样本的累计频率,如表7第(3)、(6)栏,n
1与n
2分别为两样本含量,样本1的累计频率为i/n
1,样本2的累计频率为j/
n2;再求两累计频率之差d,如表7第(7)栏; N=n
1+n
2;统计量U
2值的计算公式为

求得U
2值后,查表6得P值,按所取检验水准作出推断结论。注意:同一P值时,Un1,n22=Un2,n12。例9 比较表7中两组儿童心电轴的角方向。
H
0: 两总体的角方向相同,
H
1: 两总体的角方向不同。
α=0.05。
N =11 +9=20,

查表6得P>0.05,按a=0.05水准不拒绝H
0,故不能认为两的角方向不同。
表6 Watson检验用U2界值表
| n1 | n2 | P | n1 | n2 | P |
| 0.05 | 0.01 | 0.05 | 0.01 |
4 4 | 4 5 | | | 5 6 | 30 6 | .1802 .2060 | .2419 |
4 4 4 | 6 7 8 | .2167 .2273 .2361 | | 6 6 6 | 7 8 9 | .1941 .1964 .1926 | .2821 .2976 .2617 |
4 4 4 | 9 10 11 | .2436 .2018 .1949 | | 6 6 6 | 10 11 12 | .1896 .1872 .1829 | .2479 .2620 .2593 |
4 4 | 12 13 | .2031 .1855 | .2604 .2647 | 6 6 | 13 14 | .1849 .1839 | .2497 .2506 |
4 4 4 4 4 | 14 15 16 17 18 | .1931 .1807 .1836 .1839 .1818 | .2685 .2719 .2750 .2778 .2481 | 6 6 6 6 6 | 15 16 17 18 19 | .1852 .1823 .1833 .1840 .1832 | .2487 .2500 .2472 .2461 .2498 |
4 4 4 4 4 | 19 20 21 22 23 | .1796 .1842 .1819 .1823 .1814 | .2517 .2451 .2486 .2517 .2394 | 6 6 6 7 7 | 20 21 22 7 8 | .1824 .1834 .1824 .1986 .1817 | .2490 .2475 .2473 .3036 .2722 |
4 4 4 4 4 | 24 25 26 27 28 | .1797 .1814 .1816 .1786 .1775 | .2411 .2441 .2396 .2360 .2388 | 7 7 7 7 7 | 9 10 11 12 13 | .1818 .1866 .1839 .1855 .1842 | .2552 .2622 .2532 .2519 .2523 |
4 4 5 5 5 | 29 30 5 6 7 | .1794 .1797 .2250 .2424 .1998 | .2369 .2395 | 7 7 7 7 7 | 14 15 16 17 18 | .1840 .1845 .1848 .1827 .1841 | .2530 .2503 .2508 .2500 .2502 |
| 5 | 8 | .2154 | | 7 | 20 | .1832 | .2499 |
5 5 5 5 | 9 10 11 12 | .1909 .1956 .1901 .1863 | .2798 .2889 .2969 .2608 | 8 8 8 8 | 8 9 10 11 | .1836 .1863 .1852 .1842 | .2500 .2582 .2491 .2524 |
5 5 5 5 5 | 13 14 15 16 17 | .1837 .1820 .1835 .1825 .1820 | .2692 .2571 .2515 .2552 .2472 | 8 8 8 8 8 | 12 13 14 15 16 | .1854 .1853 .1855 .1855 .1854 | .2521 .2531 .2516 .2507 .2531 |
5 5 5 5 5 | 18 19 20 21 22 | .1797 .1824 .1824 .1810 .1820 | .2464 .2526 .2416 .2448 .2426 | 9 9 9 9 9 | 9 10 11 12 13 | .1867 .1860 .1845 .1852 .1850 | .2663 .2538 .2552 .2540 .2526 |
5 5 5 5 5 | 23 24 25 26 27 | .1811 .1810 .1810 .1806 .1804 | .2451 .2437 .2461 .2447 .2443 | 9 9 10 10 10 | 14 15 10 11 12 | .1843 .1850 .1850 .1856 .1848 | .2526 .2541 .2545 .2548 .2545 |
5 5 | 28 29 | .1802 .1802 | .2417 .2443 | 10 ∞ | 13 ∞ | .1853 .1869 | .2542 .2684 |
摘自 Zar JH: Biostatistical Analysis,p 575,Pren-tice-Hall,Inc.,1974

同理,10~13岁组
Y
2=0.800453,
X
2=0.432755。r2=0.909946;
sinā2 = 0.879671,
cosā2 =0.475583,
ā
2=61°60;
R
2=220.2069。
两组合并
∑sinai=107.164353+193.709732=300.874085,
∑cosai=51.471733+104.726637=156.198370,
N=129+242=371,Y=0.810981,X=0.421020。
r=0.913755,R=339.0031。
查表4,当r=0.913755时,经内插法K=1.0615,按式(11)得

v
1=1,v
2=371-2=369,查F界值表得P>0.05。按α=0.05水准不拒绝H0,故认为两样本的角均数都估计同一个总体角均数,最佳估计值ā按(4)、(5)由合并数计算:sinā=0.810981/0.913755=0.88753,
或 cos ā=0.421020/0.913755=0.46076。
ā=62.56°=62°34′。
两样本角方向的比较 用G.S.Watson非参数法,称为U2检验。检验假设H0为两样本来自角方向相同的两个总体。先将两组数据统一按大小排列,分组编秩,如表7第(1)、(2)、(4)、(5)栏,令i和j分别为样本1与样本2各角的秩号,α
1i为样本1的第i个角,α
2j为样本2的第j个角;然后分别求两样本的累计频率,如表7第(3)、(6)栏,n
1与n
2分别为两样本含量,样本1的累计频率为i/n
1,样本2的累计频率为j/n
2;再求两累计频率之差d,如表7第(7)栏;N=n
1+n
2;统计量U
2值的计算公式为

求得U
2值后,查表6得P值,按所取检验水准作出推断结论。注意:同一P值时,U
2n1.n2=U
2n1.n2,n12。
例9 比较表7中两组儿童心电轴的角方向。
H
0: 两总体的角方向相同,
H
1: 两总体的角方向不同。
α=0.05。
N=11+9=20,

查表6得P>0.05,按α=0.05水准不拒绝H
0,故不能认为两组的角方向不同。
表6 Watson检验用U2界值表
| n1 | n2 | P | n1 | n2 | P |
| 0.05 | 0.01 | 0.05 | 0.01 |
4 4 | 4 5 | | | 5 6 | 30 6 | .1802 .2060 | .2419 |
4 4 4 | 6 7 8 | .2167 .2273 .2361 | | 6 6 6 | 7 8 9 | .1941 .1964 .1926 | .2821 .2976 .2617 |
4 4 4 | 9 10 11 | .2436 .2018 .1949 | | 6 6 6 | 10 11 12 | .1896 .1872 .1829 | .2479 .2620 .2593 |
4 4 | 12 13 | .2031 .1855 | .2604 .2647 | 6 6 | 13 14 | .1849 .1839 | .2497 .2506 |
4 4 4 4 4 | 14 15 16 17 18 | .1931 .1807 .1836 .1839 .1818 | .2685 .2719 .2750 .2778 .2481 | 6 6 6 6 6 | 15 16 17 18 19 | .1852 .1823 .1833 .1840 .1832 | .2487 .2500 .2472 .2461 .2498 |
4 4 4 4 4 | 19 20 21 22 23 | .1796 .1842 .1819 .1823 .1814 | .2517 .2451 .2486 .2517 .2394 | 6 6 6 7 7 | 20 21 22 7 8 | .1824 .1834 .1824 .1986 .1817 | .2490 .2475 .2473 .3036 .2722 |
4 4 4 4 4 | 24 25 26 27 28 | .1797 .1814 .1816 .1786 .1775 | .2411 .2441 .2396 .2360 .2388 | 7 7 7 7 7 | 9 10 11 12 13 | .1818 .1866 .1839 .1855 .1842 | .2552 .2622 .2532 .2519 .2523 |
4 4 5 5 5 | 29 30 5 6 7 | .1794 .1797 .2250 .2424 .1998 | .2369 .2395 | 7 7 7 7 7 | 14 15 16 17 18 | .1840 .1845 .1848 .1827 .1841 | .2530 .2503 .2508 .2500 .2502 |
| 5 | 8 | .2154 | | 7 | 20 | .1832 | .2499 |
5 5 5 5 | 9 10 11 12 | .1909 .1956 .1901 .1863 | .2798 .2889 .2969 .2608 | 8 8 8 8 | 8 9 10 11 | .1836 .1863 .1852 .1842 | .2500 .2582 .2491 .2524 |
5 5 5 5 5 | 13 14 15 16 17 | .1837 .1820 .1835 .1825 .1820 | .2692 .2571 .2515 .2552 .2472 | 8 8 8 8 8 | 12 13 14 15 16 | .1854 .1853 .1855 .1855 .1854 | .2521 .2531 .2516 .2507 .2531 |
5 5 5 5 5 | 18 19 20 21 22 | .1797 .1824 .1824 .1810 .1820 | .2464 .2526 .2416 .2448 .2426 | 9 9 9 9 9 | 9 10 11 12 13 | .1867 .1860 .1845 .1852 .1850 | .2663 .2538 .2552 .2540 .2526 |
5 5 5 5 5 | 23 24 25 26 27 | .1811 .1810 .1810 .1806 .1804 | .2451 .2437 .2461 .2447 .2443 | 9 9 10 10 10 | 14 15 10 11 12 | .1843 .1850 .1850 .1856 .1848 | .2526 .2541 .2545 .2548 .2545 |
5 5 | 28 29 | .1802 .1802 | .2417 .2443 | 10 ∞ | 13 ∞ | .1853 .1869 | .2542 .2684 |
摘自 Zar JH: Bios tatistical Analysis,P 575,Pren-tice-Hall,Inc.,1974
表7 两样本角方向的比较(U2检验)
| 样 本 1 | 样 本 2 | d=i/n1-j/n2 (7)=(3)-(6) | d2 (8) |
i (1) | a1i(°) (2) | i/n1 (3) | j (4) | a2j(°) (5) | j/n2 (6) |
| 1 | -22 | 0.09091 | … | … | 0.00000 | 0.09091 | 0.00826 |
| … | … | 0.09091 | 1 | -5 | 0.11111 | -0.02020 | 0.00041 |
| 2 | 6 | 0.18182 | … | … | 0.11111 | 0.07071 | 0.00500 |
| … | … | 0.18182 | 2 | 26 | 0.22222 | -0.04040 | 0.00163 |
| 3 | 38 | 0.27273 | 3 | 38 | 0.33333 | -0.06060 | 0.00367 |
| 4 | 44 | 0.36364 | … | … | 0.33333 | 0.03031 | 0.00092 |
| 6 | 48 | 0.45455 | 4 | 48 | 0.44444 | 0.01011 | 0.00010 |
| … | … | 0.45455 | 5 | 56 | 0.55556 | -0.10101 | 0.01020 |
| 6 | 58 | 0.54545 | … | … | 0.55556 | -0.01011 | 0.00010 |
| … | … | 0.54545 | 6 | 59 | 0.66667 | -0.12122 | 0.01469 |
| 7 | 70 | 0.63636 | 7 | 70 | 0.77778 | -0.14142 | 0.02000 |
| … | … | 0.63636 | 8 | 74 | 0.88889 | -0.25253 | 0.06377 |
| 8 | 77 | 0.72727 | … | … | 0.88889 | -0.16162 | 0.02612 |
| 9 | 79 | 0.81818 | … | … | 0.88889 | -0.07071 | 0.00500 |
| 10 | 82 | 0.90909 | … | … | 0.88889 | 0.02020 | 0.00041 |
| 11 | 86 | 1.00000 | … | … | 0.88889 | 0.11111 | 0.01235 |
| … | … | 1.00000 | 9 | 99 | 1.00000 | 0.00000 | 0.00000 |
| n1=11 | n2=9 | -0.64647 Σd | 0.17263 Σd2 |