网站首页  词典首页


请输入您要查询的字词:

 

字词 圆的切线长
类别 中英文字词句释义及详细解析
释义
圆的切线长

圆的切线长yuan de qiexian chang

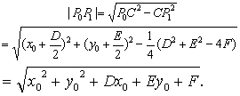
由圆x2+y2+Dx+Ey+F=0外一点P0 (x0,y0)引圆的切线,切点是P1 (如图),则切线长


证 圆

x1+y2+Dx+Ey+F=0

的圆心是

半径是

由于△CP0P1是直角

三角形, 依据勾股定理


此计算公式的形式上的特点是:将圆外一点P0的坐标代入圆的方程,再取算术平方根.


据此,自P0(x0,y0)引圆(x-a)2+ (y-b)2 =r2的切线,则切线长等于
☚ 圆的切线和法线   两圆的交角 ☛
00013144
随便看

 

离鸟网收录3541549条中英文词条,其功能与新华字典、现代汉语词典、牛津高阶英汉词典等各类中英文词典类似,基本涵盖了全部常用中英文字词句的读音、释义及用法,是语言学习和写作的有利工具。

 

Copyright © 2004-2024 vtrois.com All Rights Reserved
更新时间:2026/5/25 12:38:06