网站首页  词典首页


请输入您要查询的字词:

 

字词 圆锥曲线的切线
类别 中英文字词句释义及详细解析
释义
圆锥曲线的切线

圆锥曲线的切线yuanzhuiquxian de qiexian

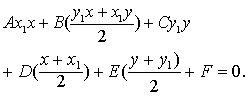
经过圆锥曲线Ax2+Bxy+Cy2+Dx+Ey+F=0上一点P (x1,y1)的切线方程是


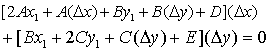
证 设Q(x1+△x,y1+△y)是曲线上和P (x,y)点邻近的点,则
Ax21+Bx1y1+Cy21+Dx1+Ey1+F=0
A(x1+△x)2+B(x1+△x)(y1+△y)+C(y+△y)2+D(x1+△x)+E(y1+△y)+F=0
两式相减,并整理,得

由此可得

两边取极限,可得曲线在P点的斜率

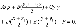
故经过P点的切线方程是

x1),

整理可得


已知曲线上一点P的坐标(x1,y1),可按下述变形规则,将曲线方程直接改写成以P点为切点的切线方程:
❶将x2和y2变形为x1x和y1y;
❷将xy变形为(y1x+x1y)/2;
❸将x和y变形为(x+x1)/2和(y+y1)/2;
❹常数项不变.
求经过不在圆锥曲线上的已知点的切线方程,不能用上述的变形规则.
经过圆或椭圆外部一点,双曲线内部(不包含双曲线两焦点的平面区域,如满足x2/a2-y2/b2<1的点集)一点,抛物线外部(不包含抛物线焦点的平面区域,如满足y2>2px的点集)一点,都可以分别作圆或椭圆,双曲线,抛物线的两条切线,求切线方程的常用方法有两种.
方法1 设已知点为P0(x0,y0),切点为P1(x1,y1),按上述变形规则写出过P1点的切线方程;将P0点坐标代入此切线方程,得出关于x1和y1的方程.
由于P1点在曲线上,将P1点坐标代入曲线方程,得出另一个关于x1和y1的方程.
解方程组求出切点坐标,便可写出切线方程.
方法2 设所求的过P0 (x0,y0)点的切线方程是y-y0=k(x-x0),其中斜率k是待定系数.将此切线方程和曲线方程联立,组成方程组.
消去一元,化为关于x(或y)的一元二次方程,令其判别式⊿=0,解出k值,便可写出切线方程.
应用方法2时,应注意不要遗漏斜率不存在(垂直于X轴)的切线方程.
若已知点在圆或椭圆的内部,双曲线的外部(包含双曲线焦点的平面区域,如满足x2/a2-y2/b2>1的点集),抛物线的内部(包含抛物线焦点的平面区域,如满足y2<2px的点集),则不能做圆或椭圆,双曲线,抛物线的切线.
☚ 圆锥曲线的统一定义   坐标轴的平移及移轴公式 ☛
00013207
随便看

 

离鸟网收录3541549条中英文词条,其功能与新华字典、现代汉语词典、牛津高阶英汉词典等各类中英文词典类似,基本涵盖了全部常用中英文字词句的读音、释义及用法,是语言学习和写作的有利工具。

 

Copyright © 2004-2024 vtrois.com All Rights Reserved
更新时间:2026/4/7 9:44:55