网站首页  词典首页


请输入您要查询的字词:

 

字词 土壤耕作力学
类别 中英文字词句释义及详细解析
释义

土壤耕作力学soil tillage mechanics

是研究土壤耕作中机具作用于土体的力的特性,土壤的变形和运动,耕层最终状态的水、气、热、盐传导效应和支承强度以及这些现象变化规律的一门应用学科。据此可以预测耕作效果,指导耕具的设计、创制和有效使用,发展耕作和牵引新方法,为植物生长发育提供良好环境条件,同时减少耕作能耗、投资、土壤压实和水土流失,保护生态,改良环境。
土壤耕作力学作为土壤动力学(或土壤机器系统力学)的一个分支,不仅涉及土体失效之前的静态稳定问题,更主要的是涉及失效过程中及生效之后的塑性流动,剪裂破坏的扩展,土体作刚体、流变体或特殊流体的运动;不仅与土方挖掘力学和地面一车辆系统力学一样将土壤视作一种工程物料,而且还将其看成为一种生物物质,强调耕作后土壤最终状态对植物根系和种子的水热运移,土壤微生物环境和腐殖质水平的影响等,因而与土壤学、土壤物理学以及耕作栽培学密切相关。
研究途径 土壤耕作中,受力和作业质量的定性和定量评价,主要通过田间的测定。机具性能预测及其研究主要采用四种方法:❶经验法。通过大量试验数据,采用回归经验方程进行分析研究。
❷相似理论模型试验法。可减少试验工作量和试验难度,但模型畸变预测因子难以确定。
❸半经验法。利用圆锥仪或土壤承载测定仪等简单仪器的读数模拟机具工作部件特性和尺寸,预测机具性能。
❹理论研究法。包括建立各种响应性能方程、工艺元素力学方程以及典型工作部件力学方程等。由于土壤是由固、液、气三态物质构成的一种独特的松散介质,在田野现场,其力学特性(质地、物理粘粒含量、结构和孔隙度、水分含量)可呈现迥然不同性质的响应和失效以及在数量上起到几十倍甚至上百倍的变化,从而使得田间试验回归的经验法只能具有非常有限的普遍性意义。自20世纪50年代以来,在室内控制条件下的试验研究和理论探索得到了重视和发展。
内容体系
力学性质和参数体系 土壤作为松散介质,它的状态特性(如结构、密度、位置等)及其材料性质(化学成分、矿物成分、机械组成等)本身就有非常宽的离散幅度,而由于受到物理因素作用才呈现的行为特性(如应力、应变等)差别更大。后者又还有两种情况,即土壤发生屈服或移动时的“主动”响应性能,这时起作用的力为内聚力、摩擦力、附着力,表现为材料的强度;土壤不发生屈服或移动时的“被动”响应性能,这时起作用的是孔隙的大小及其弯曲情况以及传热特性等,表现为水分运动和热的交换。
本构关系 土壤在力作用下的响应行为,可作为脆性材料(脆性干土)、塑性材料(旱田塑性土)、粘弹塑性体、流变体或特殊流体(水田土、沼泽土)来处理。关键是在实验室统一简化状态下对这些土壤的一些基本参量的测定值,如何能应用到实际现场复杂的复合应力组合状态上去而仍能获得可接受精度的结果。为此,研究者提出各种建立应力、应变或应力、应变、时间普遍关系——本构关系的有关理论。譬如认为广义虎克定律仍适用于应力增量与弹性应变增量之间的关系;提出计算塑性应变增量的各种屈服准则,确定塑性应变增量方向的流动规则,从给定应力增量计算塑性应变增量的各种假定和方法;提出用各种流变模型描述土壤的流变响应行为;提出用各种非牛顿流体方程描述土壤在受力下的流动等。
土壤在受压或受剪下常发生剪裂破坏。土壤剪应力与变形的关系是通过采土样在实验室用直剪仪或常规三轴压缩仪获得的。一般旱田土壤表现为或是加工硬化或是加工软化,如图1土壤的剪切强度以驼峰值(加工软化时)或最大值(加工硬化时)标记。剪应力达到剪切强度时土壤开始剪裂破坏。土壤的剪切强度与作用在剪切平面上的法向压力相关,而旱田土壤的剪裂破坏通常遵循库仑准则,即

式中 τf为破坏剪应力;σ为作用在剪切失效面上的正应力;c为土壤的凝聚力参数;∅为土壤的内摩擦角参数。

图1 典型旱田土壤的剪应力—应变关系


在拉张破坏情况下,土体不发生剪切滑移,而是在土粒之间断开。土壤的拉张失效主要遵循格里菲斯准则,即

式中σt为土的单轴拉伸抗拉强度,为负值;σ1、σ3为主应力。脆性材料的张强可低达压缩强度的1/8。
非饱和和饱和土的应力应变和失效状态比较完整地由以孔隙比ν和八面体法向应力(σ8)和八面体剪应力(τ8)为坐标轴的临界状态模型描述,如图2。当土体任一点应力状态到达(R)面时发生流动失效;到达(H)面时发生脆性破坏;到达临界状态线(C)时,土体单元的剪应力不再增加,单元只变形而容积不再变化。
在水田或沼泽土的情况下,往往呈现作用力定常而变形随时间而增大(蠕变)或变形保持定常而应力随时间而消减(松弛)这样的流变特性。当时间效应对所讨论的问题的受力与变形流动具有显著意义时,常将土壤作为含有应力与应变速率或应力、应变与时间之间关系的粘弹塑性体或某种流变体处理。图3为土壤蠕变过程一例。

图2 饱和和非饱和土临界状态模型

图3 加载与卸载下土体的应变时间关系曲线


土壤在高速下或在振动下的破坏,与静载下有所不同。土壤的高速单轴压缩试验证明,破坏应力随加载速度的增加而增加,与速度的对数成比例,直至一最大值,如图4。突然加载的应力不会立即传到土壤的各个部分,而是随塑性应力波的传递速度Vp扩散。即

式中 ρ为土壤的密度;σ、ε为应力、应变。试验结果表明,低速加载时呈现脆性破坏的土壤,随载速的增加,可能变为塑性流动。塑性应力波的速度比较低,因为应力应变关系曲线比较平坦,dσ/dε在失效处的值较小。
在高速加载时,土体受到加速,其惯性力与速度平方成正比;惯性阻力亦随加载速度增加而迅速增加。如果能设法减小土体的惯性力,高速耕作就不是一定不适宜的。用振动工具减少牵引阻力可达50~75%,已应用于凿式犁、心土铲、暗沟犁、开沟犁等。但加上激振能耗,总能耗则较大。

图4 土壤破坏应力和加载速度关系


耕作工艺元素的力学方程 耕作部件的整个作用往往比较复杂。为了便于分析,可采用分解为若干典型的简单工艺元素的结合。这样,部件整个作用可望由这些简单工艺元素的力学方程或所由之组成的响应行为方程描述。譬如W.若尼的平面二面楔水平耕作时的力学方程就是由刃口贯入切削,楔面法向力和摩擦阻力,以及土垡加速等几个工艺元素的阻力所组成:

式中 R为二面楔总阻力;μ为土壤摩擦系数;N为楔面法向力;K为单位刃宽切削阻力;b为耕宽;a为耕深;ν为耕速;γ为土壤密度;δ为切削角;β为剪裂面斜角;g为重力加速度。
部件耕作工艺的力学方程 在许多场合下, 一个部件的耕作工艺常常难于分解成为泾渭分明的组成工艺元素, 如将这些组成工艺元素的响应方程联合起来描述, 也将有较大的失真。这时许多研究者采用塑性极限平衡法: 根据部件在耕作中所综合造成的典型破坏剪裂区的形状与尺寸, 按刚体力学计算其受力。
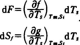
部件设计方程 部件耕作土壤的过程可抽象为包含如下因素:土壤处于初始状态Si,经过具有形状TS的部件在输入力F的作用下,以一定的移动方式Tm耕作,获得所要求的最终土壤状态Sf。则所涉及的5个设计因素可明智地有意分开列成两个基本关系方程:


如将Ts,Tm,Si三个设计因素中的两个保持不变,例如,以不同的形状或参数在相同土壤初始状态Si中以相同的移动方式和速度Tm作业,则

从而将设计中最主要的任务——部件形状的改变与阻力F和所获得的最终状态分别相关联,使得极其复杂的耕作方程可通过成套设计方程定量化。须注意的是,部件的形状在耕作中往往由于粘土在锋面前形成压实土核而有所改变。设计方程亦可部分地建立在响应方程之上。两者可根据实际情况交叉运用。
发展趋势 土壤耕作力学的学科体系已初具规模,并已研究确立的一些定性概念和定量关系。但它作为分析耕作现象的基本方法和发展新型耕作法和机具的一门科学,必须更加重视以下一些基础问题的研究:❶进一步识辨描述和评价机械力对土壤的作用及作用的效率;
❷建立耕作后的土壤物理状态参数与植物生长所需要的土壤物理传导参数之间的相关联系;
❸识辨与评价有害的土壤状态,识辨与测量耕作后土壤状态对植物生长、水土保持及土壤强度的影响;
❹发展新的综合利用机器、灌溉、土壤改良剂、生物作用、薄膜或秸秆覆盖及其他工程措施等手段的工艺和耕作法。

土壤耕作力学soil mechanics in tillage

土壤—耕作机械系统力学的简称。研究耕层土壤在切削、破碎、翻转、压实和支承等过程中,能量消耗及土壤应达到某种状况的学科。是农业土壤力学的一部分。目前主要从楔与土壤的相互作用开始,分析土壤在各种耕作部件作用下,所产生的土壤变形、运动和阻力,以探讨工作部件的几何形状、受力状况、能耗计算和磨损等问题,同时也从农业上研究如何提高土壤的肥力,以获得作物高产。

随便看

 

离鸟网收录3541549条中英文词条,其功能与新华字典、现代汉语词典、牛津高阶英汉词典等各类中英文词典类似,基本涵盖了全部常用中英文字词句的读音、释义及用法,是语言学习和写作的有利工具。

 

Copyright © 2004-2024 vtrois.com All Rights Reserved
更新时间:2026/4/9 2:22:12