网站首页  词典首页


请输入您要查询的字词:

 

字词 地乐酚
类别 中英文字词句释义及详细解析
释义

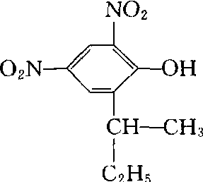
地乐酚dinoseb

酚类触杀性除草剂。化学名称:2-(1-甲基-正-丙基)-4,6-二硝基苯酚。化学结构式如下。产品为橙棕色液体,熔点38~42℃,微溶于水,溶于大多数有机溶剂与矿油,与无机或有机碱生成的盐,可溶于水。水溶液对碳钢有腐蚀性。可用于豆类、谷物类作物,防除一年生杂草。播后芽前土壤处理。对人、畜有毒,大鼠急性口服LD50为58 mg/kg,兔急性经皮LD50为80~200mg/kg。

随便看

 

离鸟网收录3541549条中英文词条,其功能与新华字典、现代汉语词典、牛津高阶英汉词典等各类中英文词典类似,基本涵盖了全部常用中英文字词句的读音、释义及用法,是语言学习和写作的有利工具。

 

Copyright © 2004-2024 vtrois.com All Rights Reserved
更新时间:2026/4/6 21:01:38