网站首页  词典首页


请输入您要查询的字词:

 

字词 复数乘方法则
类别 中英文字词句释义及详细解析
释义
复数乘方法则

复数乘方法则fushu chengfang faze

复数的n(n∈N)次幂的模等于这个复数模的n次幂,它的辐角等于这个复数辐角的n倍.即
若 z=r(cosθ+isinθ),
则 zn=rn(cosnθ+isinnθ).(1)
这个法则又叫做棣莫佛定理.公式(1)称为棣莫佛公式:
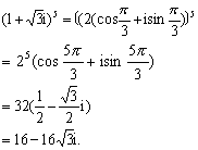
进行复数的乘、除法(尤其是多个复数相乘除)及复数的乘方运算时,利用复数的三角形式比较简便.例如,计算(1+i)5,应先把1+i化作三角形式之后再进行运算.即

☚ 复数除法法则   棣莫佛公式 ☛
00012016
随便看

 

离鸟网收录3541549条中英文词条,其功能与新华字典、现代汉语词典、牛津高阶英汉词典等各类中英文词典类似,基本涵盖了全部常用中英文字词句的读音、释义及用法,是语言学习和写作的有利工具。

 

Copyright © 2004-2024 vtrois.com All Rights Reserved
更新时间:2026/4/8 1:56:58