网站首页  词典首页


请输入您要查询的字词:

 

字词 多个样本比较的秩和检验
类别 中英文字词句释义及详细解析
释义
多个样本比较的秩和检验

多个样本比较的秩和检验

本法利用多个样本的秩和来推断各样本分别代表的总体的位置有无差别(即各总体的变量值有无倾向性的不同)。它相当于单因素方差分析的非参数方法,亦称H检验(W.H.Kruskal与W.A.Wallis,1952),有直接法和频数表法。适用于计量资料与等级资料。检验假设H0是各总体的分布相同,备择假设H1是各总体的位置不同或不全相同。
直接法 直接用观察值计算,方法步骤如下:
(1) 将各样本观察值在本组内从小到大排列,并对全部观察值依次统一编秩。分属于不同样本的相等观察值,均取其平均秩次。
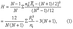
(2) 求统计量H值。按式(1),

式中Ri为第i个样本的秩和,ni为其含量,N = ∑ni,i= Ri/ni是第i组的平均秩次。(N+1)/2为总的平均秩次,∑ni[i-(N+1)/2]2相当于组间离均差平方和,(N2-1)/12为秩次的方差。
(3) 求得H值后,查表1得P值。当样本数或各ni超出表1范围时,H的分布近似于自由度为样本数减1的x2分布,可查x2界值表,得P值。最后按所取检验水准作出推断结论。

表1 秩和检验用H界值表

nn1n2n3P
0.050.01
73
3
2
3
2
1
4.71
5.14
 
83
4
4
5
3
2
3
2
2
2
1
1
5.36
5.33
5.21
5.00
 
93
4
4
5
5
3
3
4
2
3
3
2
1
2
1
5.60
5.44
4.97
5.16
4.96
7.20
6.44
6.67
6.53
104
4
5
5
3
4
3
4
3
2
2
1
5.73
5.45
5.25
4.99
6.75
7.04
6.82
6.95
114
5
5
5
4
3
4
5
3
3
2
1
5.60
5.65
5.27
5.13
7.14
7.08
7.12
7.31
124
5
5
4
4
5
4
3
2
5.69
5.63
5.34
7.65
7.44
7.27
135
5
4
5
4
3
5.62
5.71
7.76
7.54
14
15
5
5
5
5
4
5
5.64
5.78
7.79
7.98

摘自 Beyer WH: Handbook of Tables for Probabi-lity and Statistics,second edition,p 431,CRCPress,Inc.,1979
例1 试检验表2中三组人的血浆总皮质醇含量有无差别?

表2 三组人的血浆总皮质醇测定值(μg/L)

正 常 人单纯性肥胖皮质醇增多症
测定值秩 次测定值秩 次测定值秩 次
0.4
1.9
2.2
2.5
2.8
3.1
3.7
3.9
4.6
7.0
1
4
6
8
9
10.5
12
13
15
18
0.6
1.2
2.0
2.4
3.1
4.1
5.0
5.9
7.4
13.6
2
3
5
7
10.5
14
16
17
19
24
9.8
10.2
10.6
13.0
14.0
14.8
15.6
15.6
21.6
24.0
20
21
22
23
25
26
27
28
29
30
Ri
ni
96.5
10
 117.5
10
 251
10

H0:血浆总皮质醇含量的三个总体分布相同,
H1:三个总体的位置不同或不全相同。
α=0.05。
三组数据统一编秩,见表2。今N =30,按式(1):


查x2界值表,得P<0.01,按α=0.05水准拒绝H0,接受H1,故认为三组人的血浆总皮质醇含量不同。结合本例资料可认为皮质醇增多症组高于其他两组。
频数表法 若样本含量较多,尤其是等级资料,各样本可制成统一组段的频数表进行秩和检验。频数表法与上法基本相同,不同的有两点:
❶属于同一组段或等级的观察值,一律取平均秩次,再以各组段的频数加权;
❷由于相同的秩次较多,按式(1)求得的H值偏低,须用式(2)计算校正Hc值,

式中ti为第i组的相同秩次个数;其他同式(1)。对HC的判断方法同H值。
例2 在针刺麻醉下对三组患者进行肺切除术,效果分四级,见表3第(1)~(5)栏。比较针麻对三组病人的效果。
H0:三种病人的针麻效果的总体分布相同,
H1:三个总体的位置不同或不全相同。
α=0.05。

表3 三组患者肺切除术的针麻效果比较

针 麻
效 果
(1)
肺 癌
(2)
肺 化
脓 症
(3)
肺结核
(4)
合 计
(5)
秩 次
范 围
(6)
平 均
秩 次
(7)
秩 和
肺 癌
(8)=(2)(7)
肺化脓症
(9)=(3)(7)
肺结核
(10)=(4)(7)
I
II
III
IV
10
17
19
4
24
41
33
7
48
65
36
8
82
123
88
19
1~82
83~205
206~293
294~312
41.5
144.0
249.5
303.0
415.0
2448.0
4740.5
1212.0
996.0
5904.0
8233.5
2121.0
1992.0
9360.0
8982.0
2424.0
合 计50105157312————8815.517254.522758.0

编秩,求秩和,见表3第(6)~(10)栏。按式(1):


按式(2)求H0值,见表4。

表4 表3资料Hc值的计算

分级,i
(1)
相同秩次个数,ti
(2)
t3i
(3)=(2)3
t2i-ti
(4)=(3)-(2)



82
123
88
19
551368
1860867
681472
6859
551286
1860744
681384
6840
3123100254


查x2界值表,得P<0.05,按a=0.05水准拒绝Ho,接受H1,可认为三组病人作肺切除术时针麻的效果有差别。
☚ 两样本比较的秩检验   多个样本间两两比较的秩和检验 ☛
00013246
随便看

 

离鸟网收录3541549条中英文词条,其功能与新华字典、现代汉语词典、牛津高阶英汉词典等各类中英文词典类似,基本涵盖了全部常用中英文字词句的读音、释义及用法,是语言学习和写作的有利工具。

 

Copyright © 2004-2024 vtrois.com All Rights Reserved
更新时间:2026/4/7 23:17:15