网站首页  词典首页


请输入您要查询的字词:

 

字词 多抗霉素
类别 中英文字词句释义及详细解析
释义

多抗霉素polyoxin

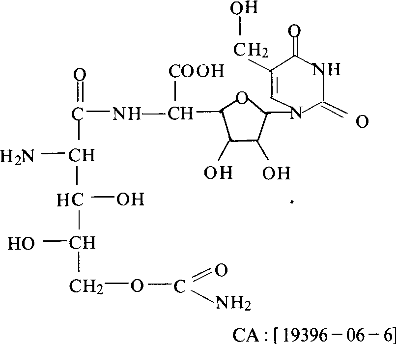
内吸性肽嘧啶核苷酸抗生素类杀菌剂。中国的多抗霉素主要成分是多抗霉素A(polyoxin A)和B(polyoxin B),由A至N14种不同的同系物组成的混合物,是金色链霉菌(Streptomyces aureo chromogenes)产生的代谢物。日本生产的类似产品称多氧霉素。它是可可链霉素阿苏变种(Streptomyces cacaoi var.asoensis)产生的代谢物。主要成分为多抗霉素B。商品名保利霉素、宝丽安(Polyxin B)。多抗霉素B的结构式见下页。
性能 多抗霉素A和B的混合物含量为84%(相当于84万单位/克),为无色针状结晶,熔点180℃。多抗霉素B纯品为无色结晶,工业品为浅棕色不定型粉末,熔点160℃,易溶于水,不溶于有机溶剂。对紫外线稳定,在酸性和中性溶液中稳定,在碱性溶液中分解。对温血动物低毒。原药小鼠和大鼠急性口服LD50

>20000毫克/千克,大鼠急性经皮LD50>1200毫克/千克,大鼠急性吸入LC50> 10毫克/升,对兔皮肤和眼睛无刺激作用。在动物体内无蓄积,易排出体外。在试验剂量内无致突变、致畸和致癌作用。两代繁殖试验及迟发性神经毒性试验未见异常。两年慢性喂饲试验无作用剂量,雄、雌大鼠分别为2943和3146毫克/千克·天,雄、雌小鼠分别为6372和6748毫克/千克· 天。对鱼和水生生物低毒,鲤鱼48小时LC50 > 40毫克/升,水蚤3 小时 LC50 > 40毫克/升。对蜜蜂低毒,LD50> 1000毫克/千克。具有较好内吸传导作用。作用机制是干扰病原菌细胞壁几丁质的生物合成。能使芽管和菌丝体局部膨大、破裂,细胞内含物泄出,导致死亡。此外还能抑制孢子的产生和病斑的扩大。
应用 主要用于防治小麦白粉病、水稻纹枯病、黄瓜霜霉病、瓜类枯萎病、苹果斑点落叶病、草莓和葡萄灰霉病、人参黑斑病、林木枯梢及梨黑斑病等多种真菌病害。在防治苹果斑点落叶病时,可与波尔多液交替使用。防治草莓灰霉病在开花初期开始喷药,使用浓度为13~20毫克/升。其常用制剂有10%乳油、10%、2%和1.5%可湿性粉剂。此外还有和8-羟基喹啉铜、克菌丹、敌菌丹的混剂。此药剂不宜与酸性和碱性药剂混用。

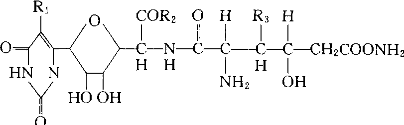
多抗霉素polyoxins

又称多氧霉素。农用抗菌素。由可可链霉菌产生的13种化合物。化学名称:缩氨肽嘧啶核莓。化学结构式如下。纯品黄色粉末,易溶于水,对紫外光、酸稳定。13种物质中多氧霉素B对梨黑斑病,多氧霉素D对水稻纹枯病有高效。具内吸作用,多氧霉素D施入土壤后,可被水稻根部吸收,向上运转,叶面喷洒具渗透作用。对病菌的作用是通过对几丁质合成酶的竞争性抑制,使几丁质合成受阻,从而影响真菌细胞壁的形成。菌丝畸形不能正常生长,对植物安全,对人畜低毒。

随便看

 

离鸟网收录3541549条中英文词条,其功能与新华字典、现代汉语词典、牛津高阶英汉词典等各类中英文词典类似,基本涵盖了全部常用中英文字词句的读音、释义及用法,是语言学习和写作的有利工具。

 

Copyright © 2004-2024 vtrois.com All Rights Reserved
更新时间:2026/4/8 4:48:10