一元一次不等式的解法步骤
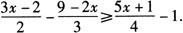
1.去分母(根据不等式基本性质2或3). 2.去括号(根据去括号法则). 3.移项(根据不等式基本性质1). 4.合并同类项(根据合并同类项法则). 5.系数化为1(根据不等式基本性质2或3). 注意 1.解一元一次不等式与解一元一次方程类似,但注意在去分母和系数化为1时,若不等式两边同时乘以(或除以)同一个负数时,要改变不等号的方向. 2.移项要变号,注意变的是这一项前的性质符号,即:改变“+”和“-”号,但不要改变不等号的方向. 例 解不等式  解 去分母得 6(3x-2)-4(9-2x)≥3(5x+1)-12. 去括号得 18x-12-36+8x≥15x+3-12. 合并同类项得26x-48≥15x-9. 移项得11x≥39. 系数化为1得 . [解析] 去分母不要漏乘分母是1的项,同时恢复括号(分数线有括号作用).去括号时前面是负号,不要忘变号,移项时只改变性质符号不要改变不等号的方向. |