一元直线回归
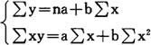
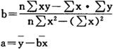
【释文】: 回归分析中最简单且运用最多的一种回归方式,因它只分析两个变量之间的相互关系,只有一个自变量,所以称为“一元直线回归”,也称“简单直线回归”。 在社会学研究中,一元直线回归的一般表达式为: y=a+bx 式中,x为自变量,y为因变量,a和b都是方程式的待定参数,其中a称作回归常数,b称作回归系数。a、b的数值可根据最小平方法计算,其标准方程式是:  由方程组可以解出  当参数a、b求出以后,一元直线回归方程式y=a+bx就完全确定了。根据这一方程式,可以由自变量x的任何一个可能值预测出因变量y的数值。 |