网站首页  词典首页


请输入您要查询的字词:

 

字词 一元线性回归标准差
类别 中英文字词句释义及详细解析
释义 一元线性回归标准差

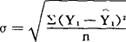
指在一元线性回归预测中,反映预测值与实际值之间差异程度的参数,用下式计算:

式中:S表示标准差;n表示变量X或Y的已知点数;表示预测值;X0表示预测点自变量X的值。

当数据点很多(n很大),且X0很接近时,上式可简化为:

随便看

 

离鸟网收录3541549条中英文词条,其功能与新华字典、现代汉语词典、牛津高阶英汉词典等各类中英文词典类似,基本涵盖了全部常用中英文字词句的读音、释义及用法,是语言学习和写作的有利工具。

 

Copyright © 2004-2024 vtrois.com All Rights Reserved
更新时间:2026/4/7 0:18:29