网站首页  词典首页


请输入您要查询的字词:

 

字词 多目标择优理论
类别 中英文字词句释义及详细解析
释义
多目标择优理论

多目标择优理论

多目标择优理论是研究大系统决策过程的优化理论。现在,一般社会、经济、军事大系统,是一个复杂系统,具有多目标、多属性、多层次、多阶段的特点,运用多目标择优理论,才能更好把它们组合成一个统一的系统。在大系统的不同的分析和决策阶段分别采用多目标优化理论剔除其劣势解,并结合事先的逻辑主题方案分析和最终的敏感性分析而找出最优解的方法。它不同于一般纯数学的理论综合法,具有自己独特的地方,结构简单、思路明晰、好学易懂,并且不需用许多新的特殊数学专业知识和大量繁杂的数学公式演变及推导。一般将这种理论作为大系统决策辅助工具。
多目标优化理论可分为四类:
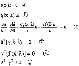
❶确定时不变情形多目标优化理论。多属性效用理论的决策问题可表示为。


式中,a为策略向量; x是结果状态向量,U是决策者的纯量价值函数,f和g表示备选系统和结果的关系及其它约束。每个备选系统都要用纯量函数的评分形式u评价,然后排序,判断a是否为最优决策的条件是:


式中â是最优策略,是一组最优结果状态,γ、θ分别是约束
❷和
❸的拉格郎日乘子向量。
❷随时不变情形。这时无论经验数据还是决策者提供的主观数据均带有不确定性,这时,需找一个备选系统,以使决策者的期望值效用极大化。以离散的情况为例,目标是maxE(u)=∑Pj(aj)U(zij(ai))式中ai为第i个备选系统,E为期望算子,Pj是第j个事件可能结果发生的概率。纯量社会选择函数u是体现了决策者对风险的态度的效用函数,Zjj(ai)是ai的第j个可能结果。多属性效用理论中的备选系统策略、事件、结果和不确定性,通常可用单级决策树表示。
☚ 决策指挥权   可行性研究方法 ☛
00003020
随便看

 

离鸟网收录3541549条中英文词条,其功能与新华字典、现代汉语词典、牛津高阶英汉词典等各类中英文词典类似,基本涵盖了全部常用中英文字词句的读音、释义及用法,是语言学习和写作的有利工具。

 

Copyright © 2004-2024 vtrois.com All Rights Reserved
更新时间:2026/4/9 2:34:45