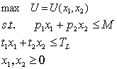
多约束条件下的消费者选择Consumer Choice under MultiConstraint
指消费者在一种以上约束条件下的对物品或劳务的最佳选择。影响和限制消费者选择的因素有经济的和非经济的两类。非经济因素很难量化,在一般的经济分析中都假定它们保持不变,因此不予考虑。经济因素主要有消费者收入、物品或劳务的价格、利息率、消费者用于消费的闲暇时间等。多约束条件下的消费者选择模型同样有一期和跨期、静态和动态之分。现以消费者受到收入约束和时间约束的一期静态模型为例说明这种选择过程。假定消费者消费x1和x2两种商品,两种商品的价格为p1、p2,消费者消费单位x1商品需要花费t1时间,消费单位x2商品需要花费t2时间。消费者可以利用的收入总量为M,可以利用的闲暇时间总量为TL。消费者的最优选择可表述为:

图1表明,ODBE部分是消费者的约束集,它同时满足收入约束和时间约束。一般来说,消费者可以调整闲暇时间(T
L)和工作时间(T
W)的分配比例来改变收入总量(M),这样,消费者的最佳选择将总会处在收入约束线和时间约束线的交点B处(图2),因为多余的闲暇时间和收入对消费者来说是没有意义的(由效用函数来看,这其实是该模型隐含的前提条件)。

图1

图2