网站首页  词典首页


请输入您要查询的字词:

 

字词 多项式定理
类别 中英文字词句释义及详细解析
释义
多项式定理

多项式定理duoxiangshi dingli

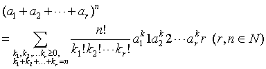
等式

叫做多项式定理.
特别地,当r = 2时,就是二项式定理.
☚ 西尔维斯特行列式   配方法 ☛
00012111
随便看

 

离鸟网收录3541549条中英文词条,其功能与新华字典、现代汉语词典、牛津高阶英汉词典等各类中英文词典类似,基本涵盖了全部常用中英文字词句的读音、释义及用法,是语言学习和写作的有利工具。

 

Copyright © 2004-2024 vtrois.com All Rights Reserved
更新时间:2026/5/25 16:06:20